andalis 发表于 2011-10-25 17:02 
另外一道宏观题目的确很难,难道是m的最优反馈规则?
多谢。这两题只是某校硕研考试真题而已。
是我浮躁了,看到题型有点新就慌,后来就大概想明白了。
关于第一题,你的做法更精致。如果我是做,可能就是C2直接代入效用函数,然后对C1求导,理由是r随机,可以视r与C1完全无关,求导后r约去了,得到C1是Y/2. 第一问和第二问的关键是这样一个结论,不管r是随机还是确定,对跨期选择都没有影响。以前都没有碰到过之类的结论,这个结论作为考察内容了,对一般考研的应试题型算是不小的突破。
关于第二题,关键是在第二问,我倒是有一种解法不知对否。
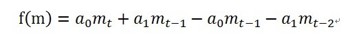
其实说起来很简单,t期和t-1期的产出y相减,等式左边是产出波动y*,等式右边包含两部分,一部分包含t期、t-1期、t-2期的M值,可设为f(m),另一部分是其它变量,可设为f(A),可知m的变动只影响f(m),不影响f(A)。
产出波动尽量小意味着y*的绝对值尽量小,右边因为m变动不影响f(A),所以可以只考虑f(m),y*尽量小也就是使f(m)尽量小,但是右边的正负值不确定,但是考虑 t 期 y 减去 t-1 期 y,和 t-1 期 y 减去 t 期 y,可知要同时使 f(m) 和 -f(m) 尽量小。所以f(m)=0。
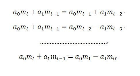
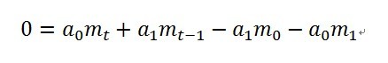
f(m)=0,可直接看出连续3期的m值相等时满足条件,但这只是特解,这个特解是不是唯一解需要证明。我递推算了一下貌似这个特解不是唯一解。只是得到(图中等式全是加号,手误,帖子图上传之后居然删不掉)
<完毕>
=======================================