全部版块 我的主页
论坛 提问 悬赏 求职 新闻 读书 功能一区 经管文库(原现金交易版)
497 0
2024-10-20

数据介绍

    分析师关注度是指分析师对某一只股票的关注程度,是衡量股票流动性的一个指标。分析师既可以对上市公司公开披露的信息进行识别、解读,又能够通过多种渠道获取公司未公开披露的信息,从而向市场传递增量信息,提高信息透明度,提升资本市场运行效率。

    研报关注度是指投资者对某一只股票的研究报告的关注程度。研报通常是由证券公司、会计师事务所、律师事务所等机构发布,为投资者提供有关公司的详细分析或前景预测。


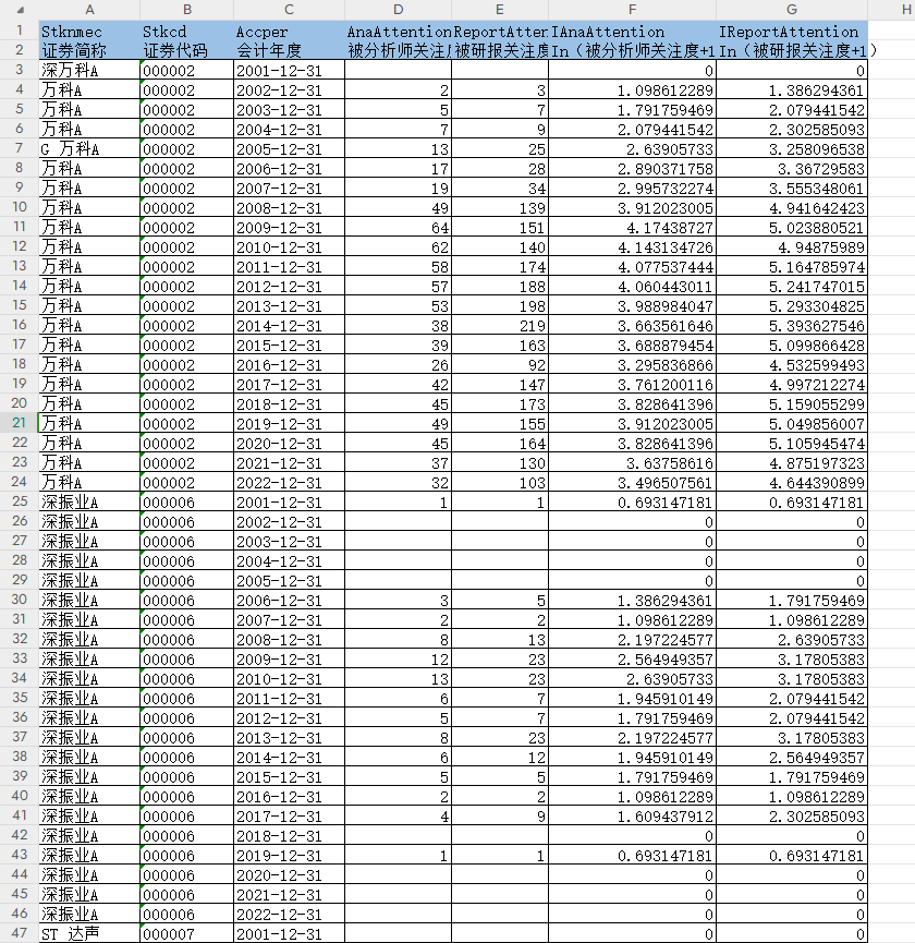
数据年份:2001-2022年

数据指标:证券简称、证券代码、会计年度、被分析师关注度、被研报关注度、In(被分析师关注度+1)、In(被研报关注度+1)。



3.png



二维码

扫码加我 拉你入群

请注明:姓名-公司-职位

以便审核进群资格,未注明则拒绝

栏目导航
热门文章
推荐文章

说点什么

分享

扫码加好友,拉您进群
各岗位、行业、专业交流群