全部版块 我的主页
论坛 提问 悬赏 求职 新闻 读书 功能一区 经管文库(原现金交易版)
379 0
2024-10-28

数据简介

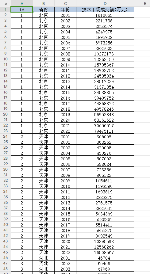
技术市场成交额反映了一个地区在技术转移、技术进步等方面的实际情况。具体来说,技术市场成交额的高低可以间接反映出该区域的创新型企业数量、技术价值等各方面综合实力。

数据名称:各省份技术市场成交额数据

数据来源:《中国统计年鉴》


数据指标

id、省份、年份、技术市场成交额(万元)。


各省份技术市场成交额数据(2001-2022年).zip
大小:(28.59 KB)

只需: RMB 25元  马上下载

本附件包括:

  • 各省份技术市场成交额数据(2001-2022年).xlsx


1.png

二维码

扫码加我 拉你入群

请注明:姓名-公司-职位

以便审核进群资格,未注明则拒绝

相关推荐
栏目导航
热门文章
推荐文章

说点什么

分享

扫码加好友,拉您进群
各岗位、行业、专业交流群