全部版块 我的主页
论坛 提问 悬赏 求职 新闻 读书 功能一区 悬赏大厅
1794 0
2011-11-12
悬赏 500 个论坛币 未解决

明天上午就要考试啦~~上课都听不懂的,只能临时抱佛脚了~


科目是上海财大王安兴老师的《金融工程学》,用的教材是上海财大出版社王安兴撰写的《金融工程学》

老师给了一些待考题目。包括证明、计算和论述。

我把他们分为三个帖子。每个帖子悬赏500论坛币!!!这是第三个帖子。

请今天晚上做出来发到我QQQQ邮箱。明天就晚啦。若只会做部分题目,我也可按每题100币赠送。

联系我的QQ3286060

11.请根据风险中性测度定价理论推导欧式看涨期权定价的Black-Scholes公式。



12.考虑一股票远期合约的多头,期限是10个月,股票今天的市场价格是每股20.50元,连续复利的无风险利率r=10%,公司股票在3个月、6个月和9个月后每股分红0.30元,请计算远期价格。



13.假设t是标准正态随机变量,计算 111.png ,并计算其均值



14.请证明任何衍生产品价格服从Black-Scholes方程。



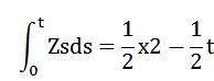
15.请叙述lto引理,并证明: 222.jpg



16.试阐述蒙特卡罗模拟方法估价衍生证券的基本思想。



二维码

扫码加我 拉你入群

请注明:姓名-公司-职位

以便审核进群资格,未注明则拒绝

相关推荐
栏目导航
热门文章
推荐文章

说点什么

分享

扫码加好友,拉您进群
各岗位、行业、专业交流群