经管之家App
让优质教育人人可得
立即打开
全部版块
我的主页
›
论坛
›
提问 悬赏 求职 新闻 读书 功能一区
›
经管文库(原现金交易版)
2007年到2023年企业金融化程度与尾缩
楼主
zhangmaaiqing
359
1
收藏
2024-11-13
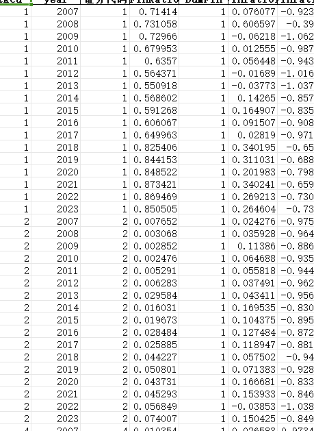
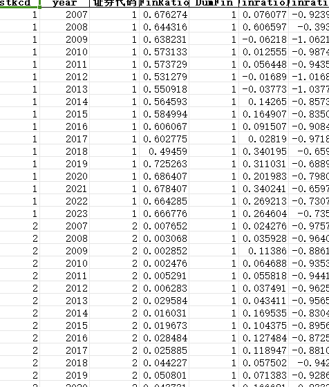
一共是两份数据,每份dta,xlsx格式都有。还附赠一份参考文献,以及其他的企业信息与测算信息。数据量太大,截图只做部分展示,详情见附件下载。
纯手工整理,只为挣点辛苦血汗钱。
企业金融化
大小:(76 Bytes)
只需: RMB 29元
马上下载
扫码加我 拉你入群
请注明:姓名-公司-职位
以便审核进群资格,未注明则拒绝
全部回复
沙发
iiid显著
2024-12-13 00:47:15
请问金融化的数据构成是怎样的呢
扫码加我 拉你入群
请注明:姓名-公司-职位
以便审核进群资格,未注明则拒绝
相关推荐
2009年的信贷过剩和2010年的去金融化
铁矿石定价被金融化 钢企如何突围高价矿困境
警惕铁矿石金融化风险
钢贸商“金融化生存”告急
国内钢企退出新加坡指数平台 铁矿石金融化遇阻
论文 金融化
电影金融化,跨界莫越界
企业金融化数据2007-2022年(已更新)
2007-2022年A股企业过度金融化、实体企业最优金融化 是否过度金融化数据+do处理代码
2007-2023企业金融化程度
栏目导航
经管文库(原现金交易版)
考研公开课
爱问频道
休闲灌水
财会类
互联网运营
热门文章
CDA 认证考试大纲 2025 重磅更新:一二级考 ...
CDA数据分析师实战:因子分析的业务应用与落 ...
Gemini准确率从21%飙到97%!谷歌只用了这一 ...
Introductory Econometrics: A Modern Appr ...
如盈财女:1.19黄金回踩顺势做多,原油高空 ...
CDA数据分析脱产就业班于2025年12月08日开班 ...
兴业研究-库存周期分析
《2025全球电子商务手册》中文简版
如何应用蔡定创的《信用价值论》理论重新设 ...
Inference and optimal censoring scheme f ...
推荐文章
【必看】【本版版规,欢迎发悬赏贴求助】
26年寒假天津站|Gemini论文写作&数据分析 ...
2026JG学术冬训营:从Stata初高到Python机器 ...
关于如何利用文献的若干建议
关于学术研究和论文发表的一些建议
关于科研中如何学习基础知识的一些建议 (一 ...
一个自编的经济学建模小案例 --写给授课本科 ...
AI智能体赋能教学改革: 全国AI教育教学应用 ...
2025中国AIoT产业全景图谱报告-406页
关于文献求助的一些建议
说点什么
分享
微信
QQ空间
QQ
微博
扫码加好友,拉您进群
各岗位、行业、专业交流群