全部版块 我的主页
论坛 提问 悬赏 求职 新闻 读书 功能一区 经管文库(原现金交易版)
1373 2
2024-11-15
数据介绍:
  • 年份:2000-2023
  • 范围:A股上市公司
  • 文件格式:Dta格式(使用Stata打开)、Xlsx格式(使用Excel打开)
  • 三个版本:供应链供需偏离程度(未缩尾未剔除)、供应链供需偏离程度(已缩尾未剔除)、供应链供需偏离程度(已缩尾已剔除金融STPT)
  • 注:提供了剔除所需数据和剔除代码,若无需做该项剔除处理,自行删除相关代码重新运行即可行业参照证监会2012年行业分类标准,制造业用二级行业分类,其他用一级分类来计算并对连续型变量进行了1%和99%分位数的缩尾处理
  • 代码格式:do文件(Stata 14/15/16/17/18)


文件.png




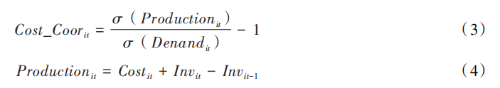
计算公式:
        

供应链合作过程中的供求协调成本难以直接度量,因此,本文以企业生产波动对需求波动的偏

离来度量企业供应链供求匹配精准度,刻画供应链供求协调成本。本文借鉴 Cachon et al(. 2007),构建供需偏离度指标,具体定义如下所示:


1.png


其中,σ (·) 表示变量的标准差,分子和分母分别表示企业生产和需求的波动性。企业生产量

Production通过式(4)计算得到,Cost为企业营业成本,Inv为企业年末存货净值;企业需求量 Denand企业营业成本 Cost作为代理变量。供应链上供需偏离程度越大,说明供应链上供求匹配精准度越低,企业的供应链供求协调成本越高


注:供需偏离度Cost_coor 是供求协调成本的反向指标,即企业供应链供需偏离度Cost_Coor越大,企业供应链供求协调成本越小该变量在参考文献中作为机制变量使用,可用于机制检验。





参考引用:

  • 企业数字化转型与供应链配置:集中化还是多元化_巫强


参考.png




代码:

代码.png

数据量:

数据量.png

描述性统计:
描述性统计.png

结果数据

结果数据.png

二维码

扫码加我 拉你入群

请注明:姓名-公司-职位

以便审核进群资格,未注明则拒绝

全部回复
2024-12-7 16:51:47
欢迎大家关注我的数据集
二维码

扫码加我 拉你入群

请注明:姓名-公司-职位

以便审核进群资格,未注明则拒绝

2024-12-20 22:05:25
谢谢分享
二维码

扫码加我 拉你入群

请注明:姓名-公司-职位

以便审核进群资格,未注明则拒绝

相关推荐
栏目导航
热门文章
推荐文章

说点什么

分享

扫码加好友,拉您进群
各岗位、行业、专业交流群