全部版块 我的主页
论坛 金融投资论坛 六区 保险精算与风险管理 CAA、SOA精算师等考证版
10810 91
2011-11-28
我正在学习A5寿险精算 现在我把我做的课后解答陆续与大家分享 望大家多多捧场 批评指正~
以下每一张图片为一道题,最后的word是完整版~
1.jpg
2.jpg
3.jpg

本帖隐藏的内容

4.jpg
5.jpg
6.jpg
7.jpg
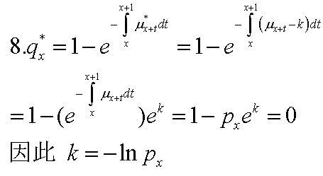
8.jpg
9.jpg
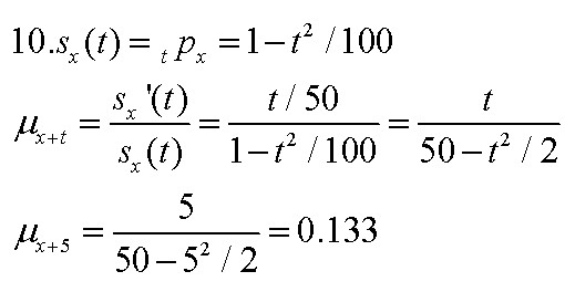
10.jpg
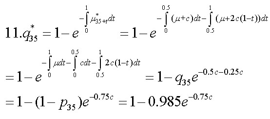
11.jpg
12.jpg
13.jpg
14.jpg
15.jpg
16.jpg
17.jpg
18.jpg
19.jpg
20.jpg
21.jpg
22.jpg
23.jpg




二维码

扫码加我 拉你入群

请注明:姓名-公司-职位

以便审核进群资格,未注明则拒绝

全部回复
2011-11-28 23:22:32
谢谢,我也要学
二维码

扫码加我 拉你入群

请注明:姓名-公司-职位

以便审核进群资格,未注明则拒绝

2011-11-28 23:23:03
大家多交流啊,顶起
二维码

扫码加我 拉你入群

请注明:姓名-公司-职位

以便审核进群资格,未注明则拒绝

2011-12-1 18:29:43
明年考
二维码

扫码加我 拉你入群

请注明:姓名-公司-职位

以便审核进群资格,未注明则拒绝

2011-12-1 19:06:43
啊哦
二维码

扫码加我 拉你入群

请注明:姓名-公司-职位

以便审核进群资格,未注明则拒绝

2011-12-1 19:37:31
不是有答案书卖么?
二维码

扫码加我 拉你入群

请注明:姓名-公司-职位

以便审核进群资格,未注明则拒绝

点击查看更多内容…
相关推荐
栏目导航
热门文章
推荐文章

说点什么

分享

扫码加好友,拉您进群
各岗位、行业、专业交流群