全部版块 我的主页
论坛 金融投资论坛 六区 保险精算与风险管理 CAA、SOA精算师等考证版
11629 70
2011-12-22
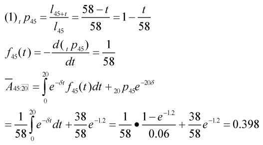
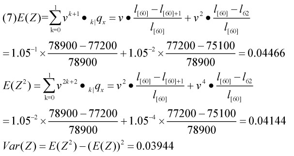
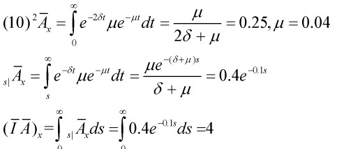
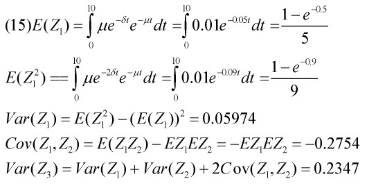
上次发了我第一章的答案,看到还是有不少朋友支持的哈,现在总算完成了第二章,这一章有几道我算的和书上答案不太一样 请大家多多指教啊~~
01.jpg
02.jpg
03.jpg

本帖隐藏的内容

04.jpg
05.jpg
06.jpg
07.jpg
08.jpg
09.jpg
10.jpg
11.jpg
12.jpg
13.jpg
14.jpg
15.jpg
16.jpg
17.jpg
18.jpg
19.jpg
20.jpg
21.jpg
22.jpg
23.jpg
24.jpg



二维码

扫码加我 拉你入群

请注明:姓名-公司-职位

以便审核进群资格,未注明则拒绝

全部回复
2011-12-23 19:22:05
这一门不是有详细的课后习题解答吗?楼主真辛苦
二维码

扫码加我 拉你入群

请注明:姓名-公司-职位

以便审核进群资格,未注明则拒绝

2011-12-23 20:24:36
有专门针对课后题目的详细解答吗?求分享啊~我只知道有本习题集,不过不是课本上每道都有呃…
二维码

扫码加我 拉你入群

请注明:姓名-公司-职位

以便审核进群资格,未注明则拒绝

2011-12-23 21:23:35
楼主不错,,,我还没开始做题,。。。。貌似习题应该在晚些做的。。。
二维码

扫码加我 拉你入群

请注明:姓名-公司-职位

以便审核进群资格,未注明则拒绝

2011-12-23 21:29:06
耿叁 发表于 2011-12-23 21:23
楼主不错,,,我还没开始做题,。。。。貌似习题应该在晚些做的。。。
呵呵 A5有19章呢 我先慢慢做起来 等你开始做的时候 再帮我看看几个我有疑问的题 谢了哈
二维码

扫码加我 拉你入群

请注明:姓名-公司-职位

以便审核进群资格,未注明则拒绝

2011-12-23 22:22:56
OK,相互学习,,,,
二维码

扫码加我 拉你入群

请注明:姓名-公司-职位

以便审核进群资格,未注明则拒绝

点击查看更多内容…
相关推荐
栏目导航
热门文章
推荐文章

说点什么

分享

扫码加好友,拉您进群
各岗位、行业、专业交流群