全部版块 我的主页
论坛 提问 悬赏 求职 新闻 读书 功能一区 悬赏大厅
826 7
2011-12-07
悬赏 20 个论坛币 未解决

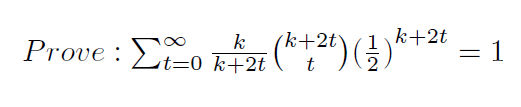
急求证明过程:
QQ截图未命名2.png
题目背景和来源如下:(只要证明出上式,这道概率题就完全证明出来,当然这道概率题本身有很多其它更简洁的证明方法)

QQ截图未命名.png

Prove Problem.pdf

大小:50.33 KB

 马上下载

证明题

二维码

扫码加我 拉你入群

请注明:姓名-公司-职位

以便审核进群资格,未注明则拒绝

全部回复
2011-12-8 20:06:48
楼主的课程好强大啊!能透露一下学校和教材么?
二维码

扫码加我 拉你入群

请注明:姓名-公司-职位

以便审核进群资格,未注明则拒绝

2011-12-8 21:03:12
题目有问题吧,t=0的时候如何做分母!
二维码

扫码加我 拉你入群

请注明:姓名-公司-职位

以便审核进群资格,未注明则拒绝

2011-12-9 10:20:47
zxun 发表于 2011-12-8 20:06
楼主的课程好强大啊!能透露一下学校和教材么?
这是Brigham Young University的Probability1. 用的教材是Geoffrey Grimmett的《Probability and Random Processes》,论坛上可以找到。
二维码

扫码加我 拉你入群

请注明:姓名-公司-职位

以便审核进群资格,未注明则拒绝

2011-12-9 10:25:17
1987625sun 发表于 2011-12-8 21:03
题目有问题吧,t=0的时候如何做分母!
没有问题啊,当t=0时,上式等于(k/k)*(k,0)*[(1/2)^k]=(1/2)^k
二维码

扫码加我 拉你入群

请注明:姓名-公司-职位

以便审核进群资格,未注明则拒绝

2011-12-9 10:34:48
数学归纳法试试
二维码

扫码加我 拉你入群

请注明:姓名-公司-职位

以便审核进群资格,未注明则拒绝

点击查看更多内容…
相关推荐
栏目导航
热门文章
推荐文章

说点什么

分享

扫码加好友,拉您进群
各岗位、行业、专业交流群