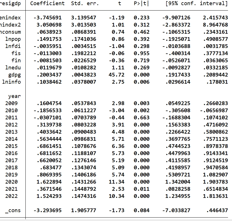
在面板数据模型中使用双向固定效应(即个体固定效应和时间固定效应)时,如果加入时间固定效应后某些系数变得不显著,这通常意味着原本被模型估计的效应可能部分地被时间变化所解释。具体到您提到的情况,在Stata的结果中只有一年的年份固定效应不显著,这种现象可以有几种不同的解释:
1. **随机噪声**:该特定年度的数据可能存在较多的异常值或噪音,导致这一年的固定效应无法从数据中稳定估计出来。
2. **特殊事件影响**:可能那一年没有经历与模型中的因变量直接相关的重要事件或者政策变化等,因此这一年的时间效应相对较小或不存在显著性。
3. **样本量问题**:如果这一年对应的数据点较少,可能导致统计检验的功率下降,从而无法检测到该年的实际时间固定效应。
针对这种情况,您可以考虑以下几种策略:
- **模型简化**:如果发现加入年份固定效应后对整体解释力的提升不明显,可以考虑仅使用个体固定效应或尝试其他模型设定(如随机效应)以提高模型稳定性。
- **增加样本量**:如果可能的话,收集更多的数据点特别是对应那一年的数据,来提高该年度时间效应估计的可靠性。
- **敏感性分析**:进行一些敏感性分析,比如剔除异常值或使用不同规格化的方法,看看结果是否稳定。
- **理论基础检验**:回顾您的研究假设和理论框架,考虑是否有未被模型捕捉的重要变量或者机制。有时,加入新的控制变量可能帮助解释掉时间效应的不显著问题。
最终如何处理取决于您的具体研究目标、数据特征以及理论分析。在发表或提交结果前,务必仔细评估这些策略对您研究结论的影响,并尽可能清晰地报告和讨论任何方法上的调整。
此文本由CAIE学术大模型生成,添加下方二维码,优先体验功能试用