全部版块 我的主页
论坛 经济学论坛 三区 区域经济学
3567 3
2011-12-20
悬赏 10 个论坛币 未解决
       本人想写区域经济学领域的论文,接触到全局自相关检验;局域自相关检验等等~
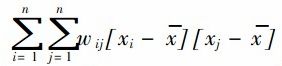
其中分析空间自相关性最最基础的全局莫兰指数,数学表达式如图 莫兰数学式
       我想这应该是开展研究最基础的问题,也是作为一个研究者应该搞懂的东西,我相信大家做研究时都在用,但不见得大家都完全理解,所以希望大师为我们指点一下,也欢迎大家积极讨论,精彩讨论与解答10币奖励~!


莫兰数学式.jpg

原图尺寸 10.8 KB

莫兰数学式.jpg

二维码

扫码加我 拉你入群

请注明:姓名-公司-职位

以便审核进群资格,未注明则拒绝

全部回复
2011-12-27 11:06:23
  这几天自己也一直在看 有了些粗浅的理解~ xi和j表示区域i的属性观测值,x拔是平均值,n是区域单元个数,wij是区域i邻近单元j的空间权重矩阵,相邻取值为1、不相邻取值为0,且i≠j。 数学式右侧的分子意思大概就是 W上海浙江*(x上海-x拔)*(x浙江-x拔)+...+....等等 因为上海和浙江有共同边界,所以W上海浙江取值为1,那么数学式右侧的分子就是一些相邻区域与平均值差值之乘积的总和!
   目前暂且理解到这个步骤,请高手指正批评~~
附件列表
clip_image001.jpg

原图尺寸 4.31 KB

数学式右侧的分子

数学式右侧的分子

二维码

扫码加我 拉你入群

请注明:姓名-公司-职位

以便审核进群资格,未注明则拒绝

2012-1-4 15:28:55
论坛热心的高手不多啊~
二维码

扫码加我 拉你入群

请注明:姓名-公司-职位

以便审核进群资格,未注明则拒绝

2012-1-21 12:19:10
zy06740223 发表于 2012-1-4 15:28
论坛热心的高手不多啊~
大家来随便说两句吧~
二维码

扫码加我 拉你入群

请注明:姓名-公司-职位

以便审核进群资格,未注明则拒绝

相关推荐
栏目导航
热门文章
推荐文章

说点什么

分享

扫码加好友,拉您进群
各岗位、行业、专业交流群