全部版块 我的主页
论坛 经济学论坛 三区 微观经济学
2012-1-10 22:59:21

5 th:     January 10th    P73~87

CHAPTER 5        CHOICE

In this chapter, I have learn the optimal choiceof consumers. If you have had the microeconomics class, I believe you arefamiliar with this figure:

1.jpg

But, the Optimal choice is not always tangentto the budget line.

3.jpg                      2.jpg

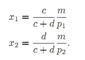
Suppose that the utility function is of theCobb-Douglas form, u(x1,x2)=(x1^c)*(x2^d), the prices for each item are p1, p2

We have the conclusion that:

4.jpg

I think it can be very convenient in theexam to solve some problem.   : )

(另:5.6Choosing Taxes部分内容因为时间问题没有看完……为了期末考试和回家,我要消失三天。。。回家之后立即补上!)


二维码

扫码加我 拉你入群

请注明:姓名-公司-职位

以便审核进群资格,未注明则拒绝

2012-1-10 23:13:12
deltadark 发表于 2012-1-10 19:31
关于增加的税收能否转嫁给租房者的问题,我还是不太明白答案的说法,是否转嫁给租房者,转嫁多少不是应 ...
我的理解是,作者的要表达的是:是否涨价并不是看成本,而是看需求。关键是这句:“if they could raise the price and keep their apartments occupied, they would have already done so.”
增加税收相当于成本上升(加了某个常数,或者说固定成本上升),而这个改变并不会使得生产商“计算利润最大化”得到的结果和以前有什么不一样(这个我是想到了生产论后面的了),所以供给曲线没有移动,均衡不变。
至于弹性……你的观点的确是对的,但是弹性决定的是“转嫁多少”,而不是"是否转嫁"。上面的分析结果是“生产者不会转嫁”

不知道我分析的对不对o(∩_∩)o
欢迎讨论!!!
二维码

扫码加我 拉你入群

请注明:姓名-公司-职位

以便审核进群资格,未注明则拒绝

2012-1-11 17:25:18
这个是我们专业教材呢
二维码

扫码加我 拉你入群

请注明:姓名-公司-职位

以便审核进群资格,未注明则拒绝

2012-1-11 17:26:55
楼主真是有心人~~~哈哈
二维码

扫码加我 拉你入群

请注明:姓名-公司-职位

以便审核进群资格,未注明则拒绝

2012-1-11 17:29:34
      Today is Wednesday. I carry on learning the chapter 3. It mainly clarifies the economic concept of “best things”. There are three axioms about consumer preference which are completeness, reflexivity and Transitivity. The economists take the hypothesis that a consumer can rank various consumption possibilities.
      Then, it describes the indifference curves. The well-behaved preferences are monotonic and convex.
二维码

扫码加我 拉你入群

请注明:姓名-公司-职位

以便审核进群资格,未注明则拒绝

2012-1-12 00:58:01
   今天就是熬夜,我也要把我的学习笔记写上来。这是对我自己的一个承诺---我要寒假之前看完,Hal  R. Varian 的Intermediate  Microeconomics :A modern approach .  今天太晚了,所以就先发个中文的笔记,明天再写英文的笔记。
    chapter 1  太简单了,之前有读过翻译版的。不过第一章对于全面了解中级微观还是有一定作用的。范里安举了一个房地产市场的例子,展开对中级微观的论述。
    我今天主要读的是chapter 2 ,读到第58页。
   
   CHAPTER 2   .  Budget constraint
    economists assume  that consumers choose the best bundle of goods they can a?0?2ord.  这是经济学的基本假定,也是消费理论的基本假定,具有一定的现实基础和合理性。

  2.1 The Budget Constraint

  First , our author  begin by examming the concept of the budget constraint. 然后引出公式  ,    p1x1 + p2x2 ≤ m
   The budget constraint of the consumer requires that the amount of money spent on the two goods be no more than the total amount the consumer has to spend.




  2.2 Two Goods Are Often Enough

  it is convenient to think of good 2  as being the dollars that the consumer can use to spend on other goods.
   后面会继续提示我们把商品2理解为消费者花费在其他商品上的美元数,这一点比较重要。

Under this interpretation the price of good 2 will automatically be 1, 需要好好理解货币的价格就是1

p1x1 + x2 ≤ m. 重要公式


2.3 Properties of the Budget Set

The budget line   p1x1 + p2x2 = m.

This is the formula for a straight line with a vertical intercept of m/p2
and a slope of ?6?1p1/p2.   记住这一点,后面分析曲线移动的时候会用到

Thus the horizontal and vertical
intercepts measure how much the consumer could get if she spent all of her
money on goods 1 and 2, respectively.

p1x1 + p2x2 = m   关于预算约束的斜率的推导

p1(x1 +Δx1)+ p2(x2 +Δx2)= m.
Subtracting the ?0?3rst equation from the second gives
p1Δx1 + p2Δx2 =0.
This says that the total value of the change in her consumption must be
zero. Solving for Δx2/Δx1, the rate at which good 2 can be substituted
for good 1 while still satisfying the budget constraint, gives
.Δx2/Δx1= ?6?1p1/p2

2.4 How the Budget Line Changes

?0?3rst consider changes in income 收入改变对预算约束的图形推导

What about changes in prices? Let us ?0?3rst consider increasing price 价格改变对预算约束
while holding price 2 and income ?0?3xed.  在Nicholson的中级微观里,这叫做 Ceteris paribus assumption ,我把他翻译成,控制单一变量

If you are spending all of
your money on good 2, then increasing the price of good 1 doesn’t change
the maximum amount of good 2 you could buy—thus the vertical inter-
cept of the budget line doesn’t change. But if you are spending all of
your money on good 1, and good 1 becomes more expensive, then your consumption of good 1 must decrease.  价格影响预算约束的解释


2.5 The Numeraire

  We could peg one of the prices, or the income, to
some ?0?3xed value, and adjust the other variables so as to describe exactly
the same budget set.  控制单一变量

the numeraire price.  对照 价格



2.6 Taxes, Subsidies, and Rationing

EXAMPLE: The Food Stamp Program

第一次看翻译版的时候,看这个不是很懂。现在看第二遍,感觉畅通了很多。
因为英文水平有限,琢磨很久也没有头绪,所以,重新看的是翻译版的。惭愧。







2.7 Budget Line Changes
这一小节没有值得记的,所以忽略。

从明天写CHAPTER 3的时候,再补上我的 summary
二维码

扫码加我 拉你入群

请注明:姓名-公司-职位

以便审核进群资格,未注明则拒绝

2012-1-12 01:00:56
今天的笔记终于写完了,万事开头难,不过总算有了个好的开头了。大家一定看的挺后面了把,我要追赶上才行啊。晚安。明天继续。
二维码

扫码加我 拉你入群

请注明:姓名-公司-职位

以便审核进群资格,未注明则拒绝

2012-1-12 17:37:57
支持楼主,我也打算继续看了。。。加油!
二维码

扫码加我 拉你入群

请注明:姓名-公司-职位

以便审核进群资格,未注明则拒绝

2012-1-12 20:51:22
amyclover 发表于 2012-1-7 10:15
我发现帖子的主题不能再次编辑,一编辑就会被隐藏然后审核
那就把第一楼作为公告栏吧o(∩_∩)o 今天的在69 ...
I want to join you ,is it too late?if i can,please tell me .
二维码

扫码加我 拉你入群

请注明:姓名-公司-职位

以便审核进群资格,未注明则拒绝

2012-1-12 23:01:10
sun7822059 发表于 2012-1-12 20:51
I want to join you ,is it too late?if i can,please tell me .
Of course you can !  Anytime~!
我明天坐火车回家,现在才看到第五章,欢迎加入~!一起加油吧~~
二维码

扫码加我 拉你入群

请注明:姓名-公司-职位

以便审核进群资格,未注明则拒绝

2012-1-13 00:28:42
   13rd  Jan  . MY NOTE in the third day
  Chapter 3  Preference
   We saw in Chapter 2 that the economic model of consumer behavior is very
   simple: people choose the best things they can afford.
   This chapter will be devoted to clarifying the economic concept of “best things.”

   3.1 Consumer Preferences
   The consumer Preference theory suppose that consumer can rank given any two
    consumption bundles  as to their desirablitiy .  
   There are  there important concept : strictly prefered , indifferent  and weakly prefers
     
  3.2 Assumnptions about Preferences
    There are some assumptions about how the preference relations work :
   Complete.   Reflexive   Transitive

  3.3 Indifference Curves
   
  Just remember this Figure , and understand it . Atually it is simple ,I just scan this chapter in one time and easy to understand .








3.4  Examples of Preferences

Indifference curves cannot cross .

There are some important situations : just remember them by undertanding their figure .

  Perfect Substitutes

  Perfect Complements

  Bads

Neutrals

Satiation

Discrete Goods



3.5 Well-Behaved Preferences

we should understand Convex preferences , Nonconvex preferences and  Concave preference



3.6 The Marginal Rate of Substitution

the slope of an indifference curve is known as the marginal rate of substitution
(MRS). The name comes from the fact that the MRS measures the rate
at which the consumer is just willing to substitute one good for the other.



3.7 Other Interpretations of the MRS

3.8 Behavior of the MRS



PS : Today is my first day to write down my note  . Plese forgive me that I just scan this chpter in only twenty minute , and I ignored many

details . Because I have this translation before , and I think it is too easy to write somewhat. I know that it is too lazy , NO ! Must cheer up !
二维码

扫码加我 拉你入群

请注明:姓名-公司-职位

以便审核进群资格,未注明则拒绝

2012-1-13 11:17:13
Everbody , I ' m sorry . I must leave here for a week . After a week , I will come back , and upload my note . Keep my promise .
二维码

扫码加我 拉你入群

请注明:姓名-公司-职位

以便审核进群资格,未注明则拒绝

2012-1-13 12:31:04
amyclover 发表于 2012-1-12 23:01
Of course you can !  Anytime~!
我明天坐火车回家,现在才看到第五章,欢迎加入~!一起加油吧~~
ok ,i know
二维码

扫码加我 拉你入群

请注明:姓名-公司-职位

以便审核进群资格,未注明则拒绝

2012-1-13 14:12:27
谢谢
二维码

扫码加我 拉你入群

请注明:姓名-公司-职位

以便审核进群资格,未注明则拒绝

2012-1-13 20:57:04
these words from writer is so fine to follow,hoping this witer can give more stuffs to exchange.english is a appliment true,english skill is necessary ture,so thanks for your experiment to improve our learning.
best kindness for you,my kindest writer
二维码

扫码加我 拉你入群

请注明:姓名-公司-职位

以便审核进群资格,未注明则拒绝

2012-1-16 09:53:07
楼主还是把读过之后记的notes编辑成一个pdf文本吧,比较便于保存和交流~
二维码

扫码加我 拉你入群

请注明:姓名-公司-职位

以便审核进群资格,未注明则拒绝

2012-1-16 11:31:33
jiazi08 发表于 2012-1-16 09:53
楼主还是把读过之后记的notes编辑成一个pdf文本吧,比较便于保存和交流~
谢谢你的提议~!
我打算每5次做一个合集吧
有时间会整理一下o(∩_∩)o
二维码

扫码加我 拉你入群

请注明:姓名-公司-职位

以便审核进群资格,未注明则拒绝

2012-1-16 11:36:20

大家好!家中的宽带出了点问题,所以这几天都没有上……我会尽快整理更新的!

首先是第五章 选择 choice  剩下的一小部分

5.6 Choosing Taxes

Even the small bit of consumer theory wehave discussed so far can be used to derive interesting and importantconclusions. Here is a nice example describing a choice between two types oftaxes!! This is a simple mathematical way.

Question:

If the government wants to raise a certain amount of revenue R, is it better to raise it via a quantity tax or an income tax? (seeP87)

1.jpg


Conclusion:The consumer will be better off under the income tax, since he can choose a point on a higher indifference curve.

Why?

Optimal choice with quantity tax (x1*, x2*)must in the line of “Budget constraint with income tax”, because the revenue R is fixed. With income tax, (x1*, x2*) isnot the best choice. Therefore the income tax is definitely superior to thequantity tax.


It’s a nice conclusion, but also has somelimitations!

First, it only applies to one consumer.

Second, we have assumed that when we imposethe tax on income the consumer’s income doesn’t change.

Third, we have totally left out the supplyresponse to the tax.

(The more details can be found in P87)


二维码

扫码加我 拉你入群

请注明:姓名-公司-职位

以便审核进群资格,未注明则拒绝

2012-1-17 21:03:32

CHAPTER 7  REVEALED PREFERENCE     P118-135




This chapter show how we can use informationabout the consumer’s demand to discover information about his or herpreferences.


First of all, what is REVEALED PREFERENCE?

(y1,y2) is affordable at the budget (p1,p2,m) means thatp1x1 + p2x2 ≥ p1y1 + p2y2.If the above inequality is satisfied and(y1,y2) is actually a different bundlefrom (x1,x2), we say that (x1,x2)is directly revealed preferred to (y1,y2).



1.jpg




2.jpg


This is The Principle of RevealedPreference (see P121)

3.jpg

4.jpg

*Such information about preferences can be very important in making policy decisions.


Index Numbers


If we use the base period prices for theweights, we have something called a Laspeyres index,

   7.jpg


if we use the t period prices, we havesomething called a Paasche index.

6.jpg

Price Indices is same as this.


二维码

扫码加我 拉你入群

请注明:姓名-公司-职位

以便审核进群资格,未注明则拒绝

2012-1-21 22:12:24
为啥这帖子到了后面都没了啥声音了?大家不要放弃啊,要坚持啊!前一段时间我这儿也不能上网。现在能上网了。希望大家都能坚持下去。
二维码

扫码加我 拉你入群

请注明:姓名-公司-职位

以便审核进群资格,未注明则拒绝

2012-1-26 18:43:01
坚持就是胜利啊,同志们!
二维码

扫码加我 拉你入群

请注明:姓名-公司-职位

以便审核进群资格,未注明则拒绝

2012-1-27 19:22:46
谢谢。
二维码

扫码加我 拉你入群

请注明:姓名-公司-职位

以便审核进群资格,未注明则拒绝

2012-2-8 20:40:26
君知否 发表于 2012-1-21 22:12
为啥这帖子到了后面都没了啥声音了?大家不要放弃啊,要坚持啊!前一段时间我这儿也不能上网。现在能上网了 ...
就是啊,这本书比较厚不能看得太慢,要是一天一章估计没有多少人能坚持,强烈建议大家趁热打铁两个星期搞定
二维码

扫码加我 拉你入群

请注明:姓名-公司-职位

以便审核进群资格,未注明则拒绝

2012-2-15 22:08:24
作为一个队员 我先为迟迟没有回帖而道歉。

我先谈谈个人对范里安的中级微观说说我的个人看法,如果你看过高鸿业的西方经济学的话,你对范里安的中级微观,你会发出这样的感叹,中级微观不过是在高鸿业的书本上,加上一些最新的章节,多具一些经典的例子。讲述更佳详细,内容充实很多而已,难度,不算很大,如果你初级教材用的是曼昆的话,你看中级微观难度是可见一斑的,你遇到的阻碍很大。


如果说范里安的书偏重于文字的叙述,那么结合平新乔的18讲,你会收获更多,18讲师一本偏向于数学理论式的经济学书籍,这俩本结合,必能天下无二。
二维码

扫码加我 拉你入群

请注明:姓名-公司-职位

以便审核进群资格,未注明则拒绝

2012-3-20 10:49:54
绵阳 发表于 2012-2-15 22:08
作为一个队员 我先为迟迟没有回帖而道歉。

我先谈谈个人对范里安的中级微观说说我的个人看法,如果你看过 ...
这帖子沉了,可惜了。
完全不赞同楼上观点,高鸿业的书讲的内容是中微的,是很多,是够精炼。但你仔细去推敲过他的文字描述过么,上手就高鸿业,基础的原理还没有吃透直接就看文字总结的分析变动结果,对初学者是有很大害处的(深受其害的我= =)。后来我一学会计同学考研教材高鸿业她看了一知半解你拿题给她做,她答得出,但是你再深入让她说变动的路径,传导的机制,多问几个为什么她就懵了。那我就不解了问她说那你怎么答得出是这样变动的结果,她说书上说的呗,XX上升导致XX如何。这样的学习何用
你说的曼昆是经济学原理?恰相反经济学原理畅销不是没有原因的,好好看,培养的是那种思维逻辑,基础又扎实,加上基本的微积分知识,上手中微才是易如反掌。
范里安不算重文字叙述,他只是考虑本科生数学基础才简化了数学,你没看他正文中都用差分在算弹性什么的。但该有的都有了。
我以前也是会好高骛远,对外国人写的啰嗦书不胜其烦,后来才深深的感觉到了基础的重要,倒不是说你学的内容有多重要(最后不都被推翻了),重要的是逻辑思考。我欠缺的就是这点,现在想来追悔莫及。
平新乔的18讲,我不觉得现在国内一般大学的数学基础抗得住(从我自己的学校看),当然用功又有天赋的孩子谁都挡不住。
二维码

扫码加我 拉你入群

请注明:姓名-公司-职位

以便审核进群资格,未注明则拒绝

2012-3-20 12:00:55
cabbit 发表于 2012-3-20 10:49
这帖子沉了,可惜了。
完全不赞同楼上观点,高鸿业的书讲的内容是中微的,是很多,是够精炼。但你仔细去 ...
理解才是做题的基础,死读是很愚蠢的。(给你朋友的忠告)  当你刚读高老的书,在没有基础前下确实很吃力,甚至有坚持不下去的感觉。当你配合高老书上的图形(尤其是移动的箭头)和文字叙述,还有后面的编后语,仔细研究高老的习题之后,我个人确实觉得曼昆的书,确实不是很适合经济专业的学生使用。 平的书,属于中高级别的,数学要求却是很高。我完全赞同你的看法。  个人愚见:先看尼克尔森的那本对平那本书有帮助。楼主这本,高老那本对它很有帮助。
二维码

扫码加我 拉你入群

请注明:姓名-公司-职位

以便审核进群资格,未注明则拒绝

2012-3-20 12:15:27
另外:我说的范里安重在文字叙述,是针对平新乔的书来的。
二维码

扫码加我 拉你入群

请注明:姓名-公司-职位

以便审核进群资格,未注明则拒绝

2012-3-20 12:17:43
曼昆的书,其实个人觉得高中生就可以读了,而且能够读懂。
二维码

扫码加我 拉你入群

请注明:姓名-公司-职位

以便审核进群资格,未注明则拒绝

2012-3-20 12:23:36
如果要在高鸿业的西方经济学和范里安的书中再插入一本过渡的书籍的话,你可以试试,朱善利的微观经济学。
二维码

扫码加我 拉你入群

请注明:姓名-公司-职位

以便审核进群资格,未注明则拒绝

2012-3-24 15:07:48
重新看看之前自己做的笔记觉得大多不是自己总结的感受
打算还是用中文多写一写自己的理解
便于以后复习

CHAPTER 8    SLUTSKY  EQUATION  

我觉得这一章的主题就是替代效应和收入效应。
当初学的时候是看高鸿业的书,有点一知半解。(哦,那里和这里的替代效应还有一些区别~之前都没发现,把自己看糊涂了)现在结合第九章里的禀赋概念,感觉理解深刻了很多。
我觉得困惑的关键就是:到底是保持什么不变的前提下需求发生变化。
p139中研究替代效应指出,是purchasing power 购买力不变(高鸿业的是保持效用不变)。我通过这次的复习明白了:购买力不是指的多少多少收入,而是通过之前的最优选择来表现的。也就是相当于,(假设),你先做出购买决策,然后价格发生变化,此时你被允许用新的价格买卖交易已有商品(如同下一章的禀赋),这个之后的买卖交换的改变量就是替代效应。
那收入效应呢?
我觉得收入效应就是,因为你实际上并没有先买商品 价格再变化,也就是说,在之前的假设上,你其实还有一部分额外收入(降价带来的)。因为这个收入增加带来的改变就是收入效应

第二个重点就是效应符号的问题
主要结论:在偏好凸性条件下,替代效应永远与价格变化相反。结合显示偏好里的定律可以从图表证明。我的理解……因为替代效应是一种调整变化:价格改变之后允许你根据已有禀赋进行买卖调整(相当于购买力不变),那么此时商品的属性已经没有影响。一方如若降价,你当然会卖掉另一种来买一点降价品(哪怕它是吉芬土豆),因为这么做会使得你境地更好。
收入效应符号:看商品属性,正常品与价格相反,劣等品与价格相同。我的理解:收入效应是一种整体变化,当价格下降收入水平上升,多余的收入如何决策就关乎商品属性。如果新买了一些正常品,得到更多的满足之后对于之前买的劣等品的需求会下降,导致卖出。
总符号:二者相加,当然就不一定咯。看谁大谁小。
嗯,今天就这样咯
看高数去……


二维码

扫码加我 拉你入群

请注明:姓名-公司-职位

以便审核进群资格,未注明则拒绝

栏目导航
热门文章
推荐文章

说点什么

分享

扫码加好友,拉您进群
各岗位、行业、专业交流群