全部版块 我的主页
论坛 提问 悬赏 求职 新闻 读书 功能一区 经管文库(原现金交易版)
313 0
2024-12-27
资源介绍

1.png


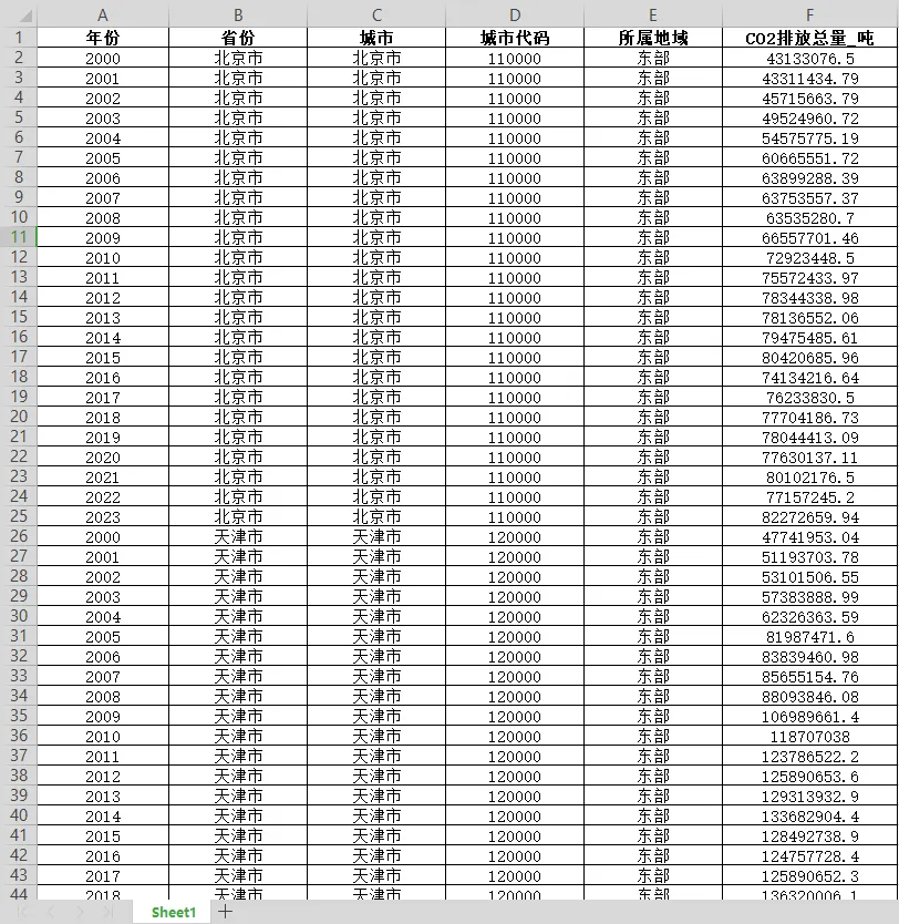
碳排放数据是衡量地方经济发展与环境可持续性的重要指标。碳排放数据通常包括二氧化碳排放量,来源包括能源消耗以及工业、交通、建筑等领域的排放。由于中国地理辽阔、经济发展不平衡,各地的碳排放水平差异较大。本次分享的数据是根据EDGAR资源提取的中国地级市二氧化碳排放数据,数据年份为2000-2023年


一、数据介绍

数据名称:中国地级市二氧化碳排放数据

数据年份:2000-2023年

数据范围:300个地级以上城市

数据来源:EDGAR_2024_GHG of October 2024

数据说明:根据EDGAR提取的城市碳排放数据

二、数据指标

年份、省份、城市、城市代码、所属地域、二氧化碳排放总量

【数据展示】

2.png



附件列表
1.png

原图尺寸 91.63 KB

1.png

2.png

原图尺寸 247.29 KB

2.png

二维码

扫码加我 拉你入群

请注明:姓名-公司-职位

以便审核进群资格,未注明则拒绝

栏目导航
热门文章
推荐文章

说点什么

分享

扫码加好友,拉您进群
各岗位、行业、专业交流群