全部版块 我的主页
论坛 提问 悬赏 求职 新闻 读书 功能一区 经管百科 爱问频道
1369 3
2012-04-21

预备知识与序列极限


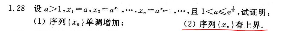
题目01
01.JPG

涉及:复合极限定理

题目02
02.JPG


题目03
03.JPG

Xn有极限怎么求,第二问的步骤。

题目04

04.JPG

主要是第二问的步骤

期盼你来一试身手哦



二维码

扫码加我 拉你入群

请注明:姓名-公司-职位

以便审核进群资格,未注明则拒绝

全部回复
2012-4-21 21:43:38
第一道题需要讨论0<X<1和X=1以及X>1!
二维码

扫码加我 拉你入群

请注明:姓名-公司-职位

以便审核进群资格,未注明则拒绝

2012-4-21 21:49:01
darwon 发表于 2012-4-21 21:43
第一道题需要讨论0
其实是分三段 1 2 为分界点,
我的疑问其实想问,复合极限定理的性质和运算。
二维码

扫码加我 拉你入群

请注明:姓名-公司-职位

以便审核进群资格,未注明则拒绝

2012-4-26 20:37:26
[attach]1100057[/attach
做了点,感觉有难度,有答案的话发我一份
附件列表

一小部分.doc

大小:22.5 KB

 马上下载

二维码

扫码加我 拉你入群

请注明:姓名-公司-职位

以便审核进群资格,未注明则拒绝

相关推荐
栏目导航
热门文章
推荐文章

说点什么

分享

扫码加好友,拉您进群
各岗位、行业、专业交流群