经管之家App
让优质教育人人可得
立即打开
全部版块
我的主页
›
论坛
›
计量经济学与统计论坛 五区
›
计量经济学与统计软件
›
EViews专版
Logistic模型究竟是什么东西啊
楼主
zhangyifan222
1861
3
收藏
2012-06-28
Logistic模型究竟是什么东西啊
扫码加我 拉你入群
请注明:姓名-公司-职位
以便审核进群资格,未注明则拒绝
全部回复
沙发
wolfsword
2012-6-28 23:10:20
查看古扎拉蒂的《Basic Econometric》。
扫码加我 拉你入群
请注明:姓名-公司-职位
以便审核进群资格,未注明则拒绝
藤椅
chyshl
2012-6-28 23:28:06
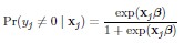
大概是这么种东东:
扫码加我 拉你入群
请注明:姓名-公司-职位
以便审核进群资格,未注明则拒绝
板凳
chyshl
2012-6-28 23:31:42
也可以写为这种东东:
扫码加我 拉你入群
请注明:姓名-公司-职位
以便审核进群资格,未注明则拒绝
相关推荐
请问S-plus中怎样应用多分类变量的logistic模型
Logistic模型检验方法
请教如何构建Logistic模型
spss中logistic模型的应用(书)
需求价格弹性的logistic模型,用SPSS具体怎么用
(求助)基于Logistic模型的风电产业演化仿真
哪位有《基于logistic模型的违约概率测算研究》这篇文章
有谁用SPSS 软件在LOGISTIC模型中的应用的比较详细的教程电子版,跪求!!
logistic模型的形式
logistic模型分类预测,R语言
栏目导航
EViews专版
Stata专版
管理科学与工程
求助成功区
爱问频道
经管高考
热门文章
表格结构数据的核心特征及具象实例解析
毕马威 - 中国内地与香港IPO市场2025年回顾 ...
高教现代数学基础23 矩阵计算六讲 徐树方,钱 ...
安徽全省一盘棋发力汽车产业
【24顶刊热点!】2000-2024上市公司股价崩盘 ...
求Journal of Computational and Graphical ...
查找文献Digital mapping of soil organic ...
《技术的本质》epub版本
精准匹配,菁英相伴--经管之家单身俱乐部, ...
科研时间70%耗在“下载-复制-粘贴”?零代码 ...
推荐文章
2026JG学术冬训营:从Stata初高到Python机器 ...
【必看】【本版版规,欢迎发悬赏贴求助】
26年寒假天津站|Gemini论文写作&数据分析 ...
关于如何利用文献的若干建议
关于学术研究和论文发表的一些建议
关于科研中如何学习基础知识的一些建议 (一 ...
一个自编的经济学建模小案例 --写给授课本科 ...
AI智能体赋能教学改革: 全国AI教育教学应用 ...
2025中国AIoT产业全景图谱报告-406页
关于文献求助的一些建议
说点什么
分享
微信
QQ空间
QQ
微博
扫码加好友,拉您进群
各岗位、行业、专业交流群