经管之家App
让优质教育人人可得
立即打开
全部版块
我的主页
›
论坛
›
金融投资论坛 六区
›
金融学(理论版)
金融工程 蒙特卡罗法定价期权问题 C++
楼主
chopinlytlyt
1559
1
收藏
2012-08-03
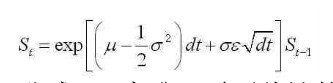
请教一个问题:用蒙特卡罗法对期权定价时,在计算未来股票价格S_T的公式里面有一个随机数 ε;根据定义,ε 是正态分布中抽取的一个随机样本。问题来了,我不太理解这个随机样本ε,如果说ε是区间为[0, 1]的任意数值,那么带入公式后计算出来的未来股票价格S_T必定大于当前股票价格S,模拟出来的股票永远呈上涨趋势。
所以,请问这个随机值x该如何取得?
这问题折磨了我很久,始终没解决,用C++模拟出来的结果总是不能令人满意,谁能帮帮我,将不胜感激!
扫码加我 拉你入群
请注明:姓名-公司-职位
以便审核进群资格,未注明则拒绝
全部回复
沙发
Quasy
2012-8-3 19:59:04
用12个[0,1]均匀分布的随机数的和减去6,近似模拟N(0,1)分布的随机数。
扫码加我 拉你入群
请注明:姓名-公司-职位
以便审核进群资格,未注明则拒绝
相关推荐
[求助]求蒙特卡罗文章
蒙特卡罗资料(2)
[下载]《金融工程中的蒙特卡罗方法》
关于蒙特卡罗的一个不错的论坛
[分享]金融工程中蒙特卡罗方法(英文)
蒙特卡罗
【下载】蒙特卡罗算法资料
蒙特卡罗抽样问题
sas 用蒙特卡罗设计重复模拟1000次,怎样把每次模拟的结果累加起来
蒙特卡罗仿真实验的t检验和边际检验的比较
栏目导航
金融学(理论版)
经管高考
stata专版
行业分析报告
经管文库
文献求助专区
热门文章
《AI+医疗治理白皮书2026》
【推荐】上市公司过度负债指标计算Stata代码 ...
告别熬夜头秃!3天论文特训,实现从“无从下 ...
一点写代码的心得:“你可别再重构了!”
CDA 认证考试大纲 2025 重磅更新:一二级考 ...
杨威老师的股海捕鱼
助力高阶认证备考!CDA 三级新上线第一套官 ...
CDA数据分析脱产就业班于2025年12月08日开班 ...
2026价值投资者白皮书
《财经论丛》投稿与录用过程
推荐文章
26年寒假天津站|Gemini论文写作&数据分析 ...
2026JG学术冬训营:从Stata初高到Python机器 ...
关于如何利用文献的若干建议
关于学术研究和论文发表的一些建议
关于科研中如何学习基础知识的一些建议 (一 ...
一个自编的经济学建模小案例 --写给授课本科 ...
AI智能体赋能教学改革: 全国AI教育教学应用 ...
2025中国AIoT产业全景图谱报告-406页
关于文献求助的一些建议
几种免费下载文献的方法----我的文献应助经
说点什么
分享
微信
QQ空间
QQ
微博
扫码加好友,拉您进群
各岗位、行业、专业交流群