全部版块 我的主页
论坛 经济学论坛 三区 微观经济学 经济金融数学专区
2831 4
2012-08-16
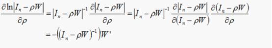
W是n*n维的矩阵,形似p的字母是一个数。感谢高手
附件列表
图片2.jpg

原图尺寸 7.3 KB

图片2.jpg

二维码

扫码加我 拉你入群

请注明:姓名-公司-职位

以便审核进群资格,未注明则拒绝

全部回复
2012-8-16 12:12:46
行列式的导数不能这样求,行列式是一个数,最终结果是tr()
矩阵求导.doc
大小:(16 KB)

 马上下载

,具体见附件,空间计量里经常用到,你找本矩阵论的教材好好看看,原来的忘记写上矩阵的逆了,你下载修改的那个
附件列表

修改矩阵求导.doc

大小:16 KB

 马上下载

修改

二维码

扫码加我 拉你入群

请注明:姓名-公司-职位

以便审核进群资格,未注明则拒绝

2012-8-16 12:20:01
deng203 发表于 2012-8-16 12:12
行列式的导数不能这样求,行列式是一个数,最终结果是tr(),具体见附件,空间计量里经常用到,你找本矩阵论 ...
非常感谢,本人确实是没学过矩阵论,遗憾的
二维码

扫码加我 拉你入群

请注明:姓名-公司-职位

以便审核进群资格,未注明则拒绝

2012-8-16 16:51:43
deng203 发表于 2012-8-16 12:12
行列式的导数不能这样求,行列式是一个数,最终结果是tr(),具体见附件,空间计量里经常用到,你找本矩阵论 ...
某高手,这个具体是怎么求出来的啊?还有你印象里,哪本矩阵论的教材比较好啊,我想去网上找下系统学习下。
二维码

扫码加我 拉你入群

请注明:姓名-公司-职位

以便审核进群资格,未注明则拒绝

2012-8-16 17:56:13
justsosoa 发表于 2012-8-16 16:51
某高手,这个具体是怎么求出来的啊?还有你印象里,哪本矩阵论的教材比较好啊,我想去网上找下系统学习下 ...
你到图书馆找些关于矩阵的求导、微分、积分内容的矩阵论教材就行了,tr表示矩阵的迹,行列式求导根据它的展开法则进行求导,你先考虑2*2阶行列式的求导,再推广到n*n阶行列式就是了,另外注意矩阵的逆与行列式以及伴随矩阵的关系就可以求得最终结果。
二维码

扫码加我 拉你入群

请注明:姓名-公司-职位

以便审核进群资格,未注明则拒绝

相关推荐
栏目导航
热门文章
推荐文章

说点什么

分享

扫码加好友,拉您进群
各岗位、行业、专业交流群