经管之家App
让优质教育人人可得
立即打开
全部版块
我的主页
›
论坛
›
经济学论坛 三区
›
区域经济学
空间经济学新人求助
楼主
belial02
1465
3
收藏
2012-09-09
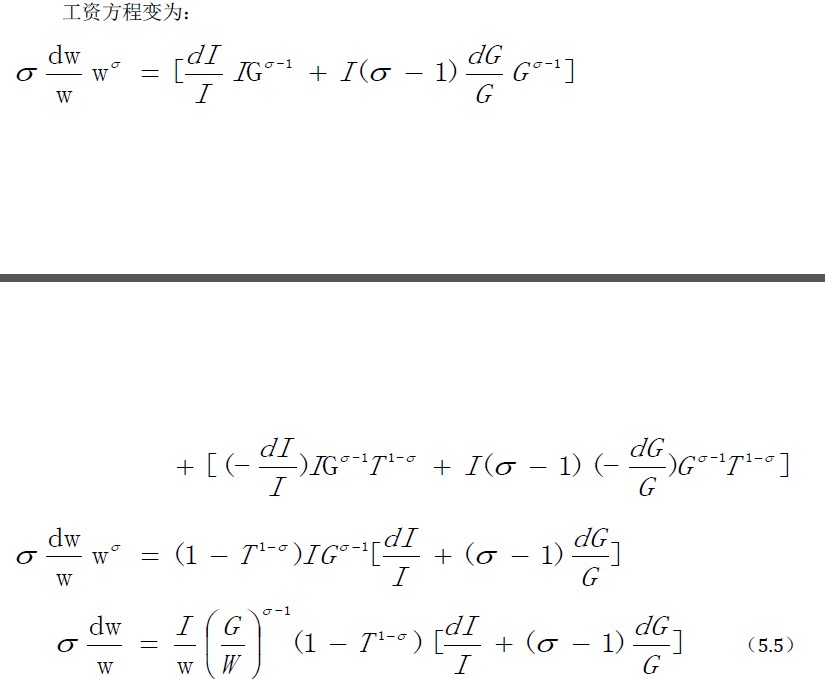
请问克鲁格曼的<空间经济学>第三章3.39和3.40两个式子是怎么得出来的?是3.38左=中、左=右然后分别求全微分么?但是为什么T那一项全微分之后没有变呢?
扫码加我 拉你入群
请注明:姓名-公司-职位
以便审核进群资格,未注明则拒绝
全部回复
沙发
belial02
2012-9-9 21:13:40
还有一个,3.40下面译者注解说怀疑克鲁格曼的书写错了,把加号写成了减号,这个地方到底是加是减?
扫码加我 拉你入群
请注明:姓名-公司-职位
以便审核进群资格,未注明则拒绝
藤椅
水轻轻
2013-3-20 21:07:41
您就别问了,论坛里没几个懂的
扫码加我 拉你入群
请注明:姓名-公司-职位
以便审核进群资格,未注明则拒绝
板凳
beenic
2013-3-20 23:48:33
看懂没?我发截图了
不知道你看的是哪版的空间经济学,我看的是人大出版社2011版红色封面的,那里面3.40没有注释说克鲁格曼写错了。
另外,我恰好学这个所以知道,你那个问题提的不是很恰当,就算知道的人看了也不愿意回答你的,还是详细说明比较好。
附件列表
QQ截图20130320233800.jpg
原图尺寸 50.57 KB
工资方程
QQ截图20130320233740.jpg
原图尺寸 65.4 KB
价格指数方程
扫码加我 拉你入群
请注明:姓名-公司-职位
以便审核进群资格,未注明则拒绝
相关推荐
谁有藤田、克鲁格曼的《空间经济学》啊
[求助]空间经济学和数值解法
【请教】空间经济学中的动态演化是如何进行的?
谁参加了第二届全国空间经济学研讨会(2010.10.23)?
关于空间经济学的分类
空间经济学和克鲁格曼
2013年中国空间经济学第五次年会热烈欢迎您的参加!
空间经济学
有看过克鲁格曼的《空间经济学》的吗?
空间经济学疑问
栏目导航
区域经济学
外文文献专区
真实世界经济学(含财经时事)
金融实务版
经管文库(原现金交易版)
金融工程(数量金融)与金融衍生品
热门文章
CDA 认证考试大纲 2025 重磅更新:一二级考 ...
失去的三十年:平成日本经济史(【日】野口 ...
表格结构数据的核心特征及具象实例解析
表格结构数据特征与CDA数据分析师:精准适配 ...
2026中信里昂风水指数
2026年中国白银行业市场供需现状及发展趋势 ...
人工智能时代的智能教育(英)
中国智能家电市场趋势洞察
新宏观丨豆包,传统经济学与商学对全球性债 ...
毕马威 - 中国内地与香港IPO市场2025年回顾 ...
推荐文章
2026JG学术冬训营:从Stata初高到Python机器 ...
【必看】【本版版规,欢迎发悬赏贴求助】
26年寒假天津站|Gemini论文写作&数据分析 ...
关于如何利用文献的若干建议
关于学术研究和论文发表的一些建议
关于科研中如何学习基础知识的一些建议 (一 ...
一个自编的经济学建模小案例 --写给授课本科 ...
AI智能体赋能教学改革: 全国AI教育教学应用 ...
2025中国AIoT产业全景图谱报告-406页
关于文献求助的一些建议
说点什么
分享
微信
QQ空间
QQ
微博
扫码加好友,拉您进群
各岗位、行业、专业交流群