全部版块 我的主页
论坛 提问 悬赏 求职 新闻 读书 功能一区 经管百科 爱问频道
1441 5
2012-10-05
各位,请教下,谢谢

1.用计量经济学分析经济学上的(像利率,通货膨胀,GDP,家庭消费)和金融上数据(证券投资回报率,贵金属(金等)在国际市场的价格等等)有什么区别,请解释。

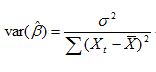
2.从simple regression model 有Yt = α + βXt + εt ,另β-hat”  作为代入已获得的估计值,使用Least  squared 的方法,请试证 试证明
二维码

扫码加我 拉你入群

请注明:姓名-公司-职位

以便审核进群资格,未注明则拒绝

全部回复
2012-10-5 18:08:07
为什么都是看起来很眼熟 但是做起来无从下手的题目。。。
二维码

扫码加我 拉你入群

请注明:姓名-公司-职位

以便审核进群资格,未注明则拒绝

2012-10-5 20:59:28
Miss_C 发表于 2012-10-5 18:08
为什么都是看起来很眼熟 但是做起来无从下手的题目。。。
呵呵,对呀,你也有这样感觉。
二维码

扫码加我 拉你入群

请注明:姓名-公司-职位

以便审核进群资格,未注明则拒绝

2012-10-6 18:42:41
挺难的啊。。。
二维码

扫码加我 拉你入群

请注明:姓名-公司-职位

以便审核进群资格,未注明则拒绝

2012-10-6 22:26:53
batwwl 发表于 2012-10-6 18:42
挺难的啊。。。
是吧?现在找不到很标准的答案。
二维码

扫码加我 拉你入群

请注明:姓名-公司-职位

以便审核进群资格,未注明则拒绝

2012-10-6 22:32:47
batwwl 发表于 2012-10-6 18:42
挺难的啊。。。
呵呵,等待高手出现
二维码

扫码加我 拉你入群

请注明:姓名-公司-职位

以便审核进群资格,未注明则拒绝

相关推荐
栏目导航
热门文章
推荐文章

说点什么

分享

扫码加好友,拉您进群
各岗位、行业、专业交流群