全部版块 我的主页
论坛 提问 悬赏 求职 新闻 读书 功能一区 经管文库(原现金交易版)
159 0
2025-08-09

数据简介:

数据整理上市公司管理层与股东数据包含股东持股,管理层持股比例,董事会等方面数据。上市公司管理层与股东的经济关系研究主要聚焦于代理成本、激励效应与治理结构的经济影响。

股权激励方面,当管理层持股比例处于一定区间时,公司资产回报率(ROA)会有提升,但超过某一限值可能引发堑壕效应。

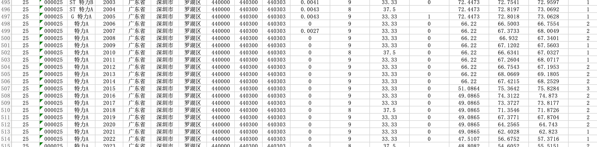
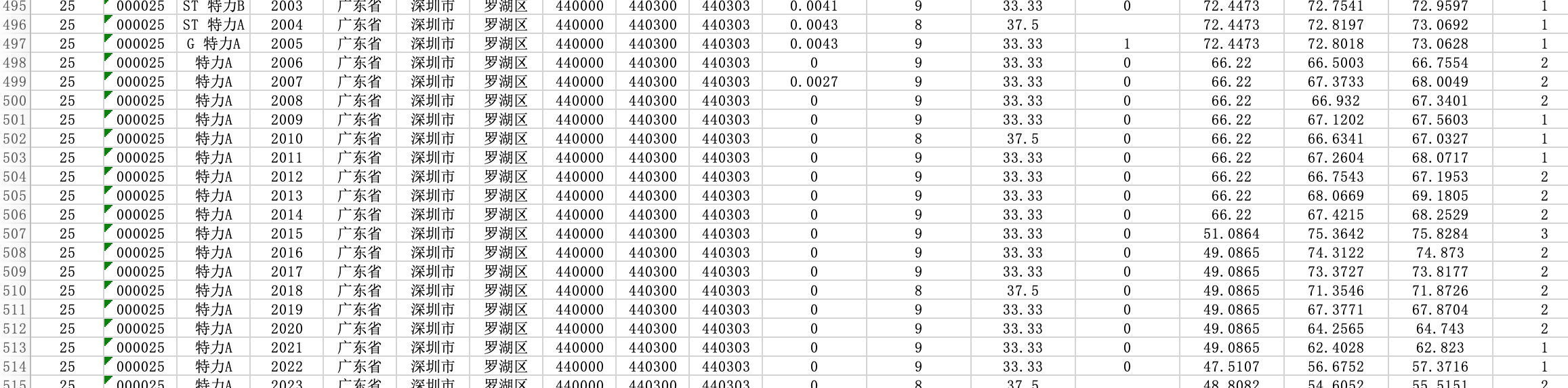
数据名称:上市公司管理层与股东数据

数据年份:2000-2023年

数据指标:

id、股票代码、股票简称、年份、省份、城市、区县、省份代码、城市代码、区县代码、管理层持股比例%、董事会人数人、独立董事占比、两职合一、第一大股东持股比例%、前三大股东持股比例%、前五大股东持股比例%、女性董事人数人、前十大股东持股比例_%

1.png

1.png

1.png

附件列表

2000-2023年上市公司管理层与股东数据.xlsx

大小:6.42 MB

只需: RMB 9999 元  马上下载

以19元版本为准

2000-2023年上市公司管理层与股东数据.xlsx

大小:6.42 MB

只需: RMB 9999 元  马上下载

以19元版本为准

二维码

扫码加我 拉你入群

请注明:姓名-公司-职位

以便审核进群资格,未注明则拒绝

相关推荐
栏目导航
热门文章
推荐文章

说点什么

分享

扫码加好友,拉您进群
各岗位、行业、专业交流群