全部版块 我的主页
论坛 提问 悬赏 求职 新闻 读书 功能一区 经管文库(原现金交易版)
170 0
2025-08-09

数据介绍:企业生产经营效率是衡量企业资源投入与产出效益的关键指标。提升效率的核心在于优化资源配置、改进管理流程和推动技术创新。当前中国企业平均生产效率约为发达国家的60-70%,通过智能制造转型仍有较大提升空间。高效运营的企业通常具备更快的市场响应速度、更低的生产成本和更高的利润率,这是构建核心竞争力的基础。

在参考文献作为中介变量使用,可用作机制检验

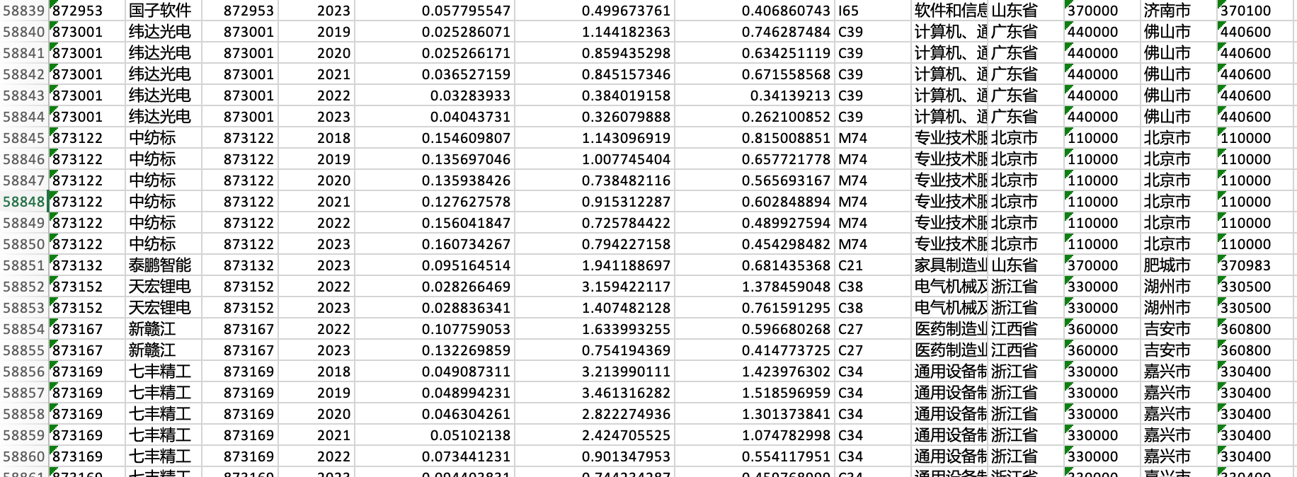
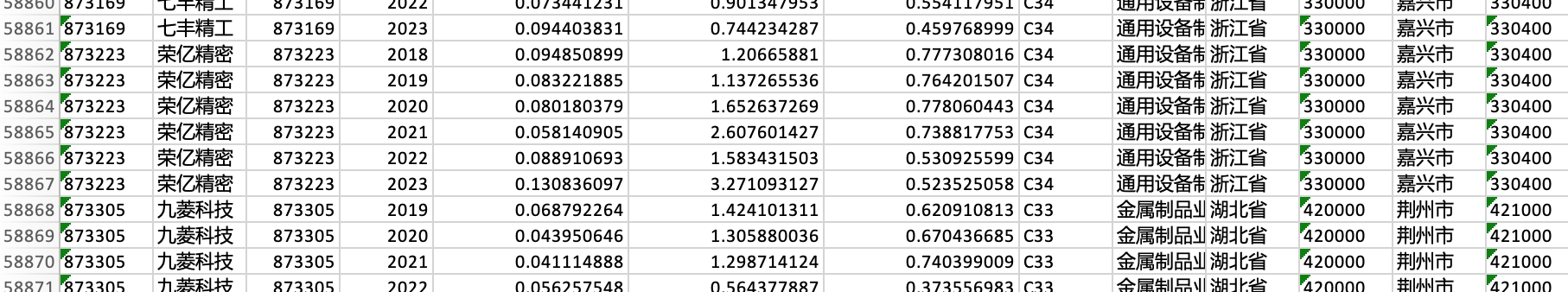
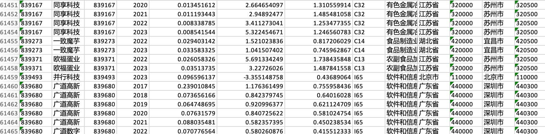
企业生产经营效率1=管理费用率=管理费用/营业收入
企业生产经营效率2=营运资金周转率=营业收入/营运资金,其中,营运资金=流动资产-流动负债
企业生产经营效率3=总资产周转率=营业收入/总资产

数据名称:上市公司企业生产经营效率

数据年份:2000-2023年


数据指标:证券代码、证券简称、stkcd、year、企业生产经营效率1、企业生产经营效率2、企业生产经营效率3、行业代码、行业名称、所属省份、所属省份代码、所属城市、所属城市代码

数据包含:

1、企业生产经营效率(未剔除未缩尾)

2、企业生产经营效率(已剔除金融STPT未缩尾)

3、企业生产经营效率(已剔除金融STPT已缩尾)

4、原始数据

5、智能制造政策与中国企业高质量发展_沈坤荣

1.png

2.png

3.png

4.png

5.png

6.png


附件列表
二维码

扫码加我 拉你入群

请注明:姓名-公司-职位

以便审核进群资格,未注明则拒绝

栏目导航
热门文章
推荐文章

说点什么

分享

扫码加好友,拉您进群
各岗位、行业、专业交流群