MATLAB代码:储能参与调峰调频联合优化模型
关键词:储能、调频、调峰、充放电优化、联合运行
仿真平台:MATLAB + CVX
概述
本文介绍一个基于 MATLAB 实现的储能系统联合优化模型,旨在通过储能设备同时参与电力系统的调峰(Peak Shaving)与调频(Frequency Regulation)任务,实现经济性与运行效率的协同优化。该模型采用凸优化工具 CVX 对储能充放电策略进行全局求解,综合考虑电价成本、需量电费、电池老化损耗、调频市场收益以及偏差惩罚机制,适用于楼宇级或区域级储能系统的运行策略设计。
主要内容
本代码构建了一个考虑多重因素的储能优化调度模型,重点在于实现储能系统在调峰和调频双重任务中的联合运行。现有研究多集中于单一功能(如仅调峰),而本模型充分挖掘储能在双场景下的协同潜力,其综合收益呈现超线性增长趋势。模型中纳入了电池退化成本、功率上下限约束以及用户负荷不确定性等实际因素,提升了策略的实用性与经济性。
整体仿真结果与配套文档高度一致,具备较强的可复现性和扩展价值。代码结构清晰,注释完整,出图效果优良,适合初学者学习掌握,并可在其基础上进一步拓展为多目标优化、鲁棒调度或分布式协同控制等高级应用。
核心功能模块
系统包含多个运行策略模块,用于对比不同应用场景下的经济效益:
基准场景(Reference)
不启用储能系统,直接计算原始负荷下的总电费支出,作为后续优化方案的性能参照基准。
仅调频模式(Regulation Only)
储能专注于响应电网频率调节信号(例如 PJM 市场的 RegD 信号),通过申报调节容量 $c$ 并实时跟踪指令变化,获取调频服务收入。同时计入电池损耗成本及因响应偏差导致的罚款支出。
仅调峰模式(Peak Shaving Only)
利用储能于用电低谷时充电、高峰时放电,平滑负荷曲线,降低最大需量功率,从而减少需量电费部分的开支。
联合优化模式(Both)
在同一时间尺度下协调调峰与调频任务,通过统一的优化框架分配储能功率资源,在满足电池物理约束的前提下最大化整体净收益。
优化目标与约束体系
模型以最小化综合运营成本为目标,综合考量多项经济指标:
- 购电成本:根据实时电价与各时段用电量计算得出;
- 需量电费:与周期内最高负荷成正比;
- 电池损耗成本:与累计充放电量成正比,反映寿命折损;
- 调频收益:由中标容量 $c$ 和单位调节价格决定;
- 偏差惩罚:若实际输出偏离调度指令,将产生额外罚金。

$$
\text{Minimize: } \sum_{t=1}^{T} \left( \lambda^{\text{elec}}_t P^{\text{grid}}_t + \lambda^{\text{peak}} \max(P^{\text{grid}}) + \lambda^{\text{battery}} (P^{\text{ch}}_t + P^{\text{dis}}_t) \right) - c \cdot \lambda^c + \lambda^p \cdot \| r_t - \hat{r}_t \|
$$
其中,$P^{\text{grid}}_t$ 为从电网购入的功率,$\max(P^{\text{grid}})$ 表示最大需量,$(P^{\text{ch}}_t + P^{\text{dis}}_t)$ 反映电池循环强度,$c$ 为申报的调节容量,$r_t$ 和 $\hat{r}_t$ 分别为实际响应与调度指令信号。
参数设置与数据处理
程序起始部分执行环境清理操作,包括清空工作区变量、关闭已有图形窗口,并设定 `fig_flag = 1` 控制是否显示结果图表。
随后定义电池关键参数:
battery.n:额定充放电循环次数;
battery.cell:单位能量成本(元/Wh);
battery.power:最大充放电功率(MW);
battery.energy:总储能容量(MWh);
battery.socmax:最高允许荷电状态(SOC);
battery.socmin:最低允许荷电状态;
battery.socini:初始 SOC 值。
电价及相关经济参数如下:
lambda.elec:分时购电价格(元/MWh);
lambda.peak:需量电价(元/MW);
lambda.c:单位调节服务收益(100美元/信号);
lambda.p:响应偏差单位惩罚(500美元/信号);
lambda.battery:电池使用成本(元/MWh)。
数据加载与预处理
模型加载两个主要数据集:
PJM_Reg_Signal_2013_06-201405.mat:PJM 电网频率调节信号数据,时间分辨率被重采样至 4 秒;
UWEE_load.mat:实测电力负荷数据,原分辨率调整为 20 秒,并通过重复扩展形成完整分析序列(共复制 45 次)。
时间参数配置
定义基本时间单位:
hour:模拟小时数;
ts:时间步长(秒);
T:总时间步数量;
tt:时间序列向量(1:T)。
主循环与策略对比
通过循环逐段提取信号数据,分别执行以下四种策略的优化计算:
- 基准场景电费计算;
- 仅参与调频的净收益评估;
- 仅用于调峰的成本节约分析;
- 联合运行模式下的综合效益优化。
每种策略的计算结果均保存至统一矩阵中,便于后续比较分析。
可视化输出
当 fig_flag == 1 时,程序将生成柱状图,直观展示四种运行策略下的电费或总成本对比情况,帮助用户快速识别最优方案。
总结
该代码实现了电力系统中储能参与调峰与调频的联合优化问题,融合了电池建模、电价机制、信号处理与凸优化技术。通过 CVX 工具包求解全局最优充放电策略,能够在多种运行模式下评估经济性表现。该模型具有良好的通用性和教学价值,可广泛应用于能源管理、智能电网调度等领域。
目标函数定义为:
$$
\min \left( \text{购电成本} + \text{需量成本} + \text{电池损耗} - \text{调频净收益} \right)
$$
其中,调频净收益等于调频收入减去偏差惩罚。
物理与运行约束
储能系统的建模严格遵循其物理特性和实际运行规则,主要包括以下几类约束:
- 功率限制:充放电过程中的功率不得超过设备的额定功率上限;
- 能量约束:电池的荷电状态(SoC)始终保持在预设的安全区间内(例如 20% 至 80%);
- 能量守恒:在一个完整的调度周期内,总充电量与总放电量保持平衡,即净充放电量为零,适用于以日为周期的循环运行场景;
- 调节信号跟踪:在参与调频或执行联合运行模式时,储能系统需尽可能准确地响应调度指令 $c \cdot r(t)$,实现高精度跟踪。
数据输入与参数配置
系统支持灵活的参数设置,便于适应不同项目场景和市场环境。主要配置项包括:
- 电池参数:涵盖额定功率、可用容量、初始荷电状态(SoC)、SoC上下限、循环寿命以及单位循环损耗成本等;
- 电价结构:包含电能量价格($/MWh)和需量电价($/MW/月);
- 调频市场参数:如调节容量补偿单价与偏差考核惩罚单价;
- 负荷与调节信号来源:
- 负荷数据基于 UWEE 建筑的实际用电测量记录;
- 调频信号采用 PJM 电力市场的历史 RegD 信号,并经过重采样处理,以匹配仿真的时间分辨率(默认为 4 秒)。
仿真总时长默认设定为 1 小时,时间步长为 4 秒,共包含 900 个调度时段。
可视化与结果输出
系统提供多种可视化功能,用户可通过控制开关进行显示或隐藏:
fig_flag
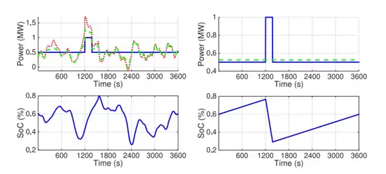
- 功率曲线对比图:同时展示原始负荷曲线、电网购电功率以及叠加调频指令后的综合功率变化趋势;
- SoC 动态轨迹图:实时呈现电池荷电状态的变化过程,用于验证 SoC 是否始终满足安全运行约束;
- 经济性对比柱状图:将四种不同运行策略的总成本进行归一化处理后并列展示,突出联合优化策略在经济效益上的优势。
此外,各功能模块均输出详细的成本分项数据,包括电费支出、需量费用、电池老化损耗成本及调频收益等,支持深入的成本效益分析。
应用价值与扩展性
本模型具备以下核心优势:
- 经济性导向明确:以运营成本最小化为核心目标,适用于商业储能项目的经济可行性评估;
- 策略可比性强:支持单一功能模式与多用途联合运行策略的横向对比,有助于投资决策与运行方案优化;
- 模块化架构设计:各功能组件高度解耦,便于更换求解算法、接入新型市场机制或拓展至多时间尺度调度框架;
- 工程实用性高:充分考虑真实市场规则(如 PJM 调频补偿机制)和电池退化成本,贴近实际应用场景。
未来可能的扩展方向包括:
- 引入负荷与价格预测的不确定性,构建鲁棒优化或随机优化模型;
- 支持多个储能单元协同运行,或与光伏、柴油发电机等分布式资源联合调度;
- 对接实时控制系统,形成“优化决策—执行控制—运行反馈”的闭环管理流程。
总结
该联合优化模型为储能系统在复杂电力市场环境下实现多功能协同运行提供了高效且可靠的决策支持工具。通过精细化建模结合凸优化求解方法,在确保设备安全运行的同时,显著提升了储能资产的经济回报水平。该模型为新型电力系统中灵活性资源的高效利用提供了具有实践意义的技术范例。