全部版块 我的主页
论坛 提问 悬赏 求职 新闻 读书 功能一区 经管文库(原现金交易版)
83 0
2026-01-04

上市公司研发投入与专利创新投入—产出面板数据(企业层面,2007—2024年,多维创新指标)




一、数据背景

研发投入与专利产出分别刻画企业创新活动中的“投入端”与“产出端”,是衡量企业创新能力、技术积累与长期竞争力的核心变量。研发投入反映企业在新产品、新工艺、新技术与新知识方面的持续性资源配置行为,专利数据则体现研发成果的制度化保护与技术外显程度。在微观实证研究中,二者常被用于分析企业创新决策、成长性、生产率提升及政策环境变化的影响机制。



二、数据介绍

数据名称:上市公司研发投入与专利创新投入—产出面板数据

时间范围:2007—2024年

覆盖范围:A股上市公司,68851条

数据格式:面板数据(Excel、Stata)

数据来源:上市公司年报、国家知识产权局等官方可引用的数据来源

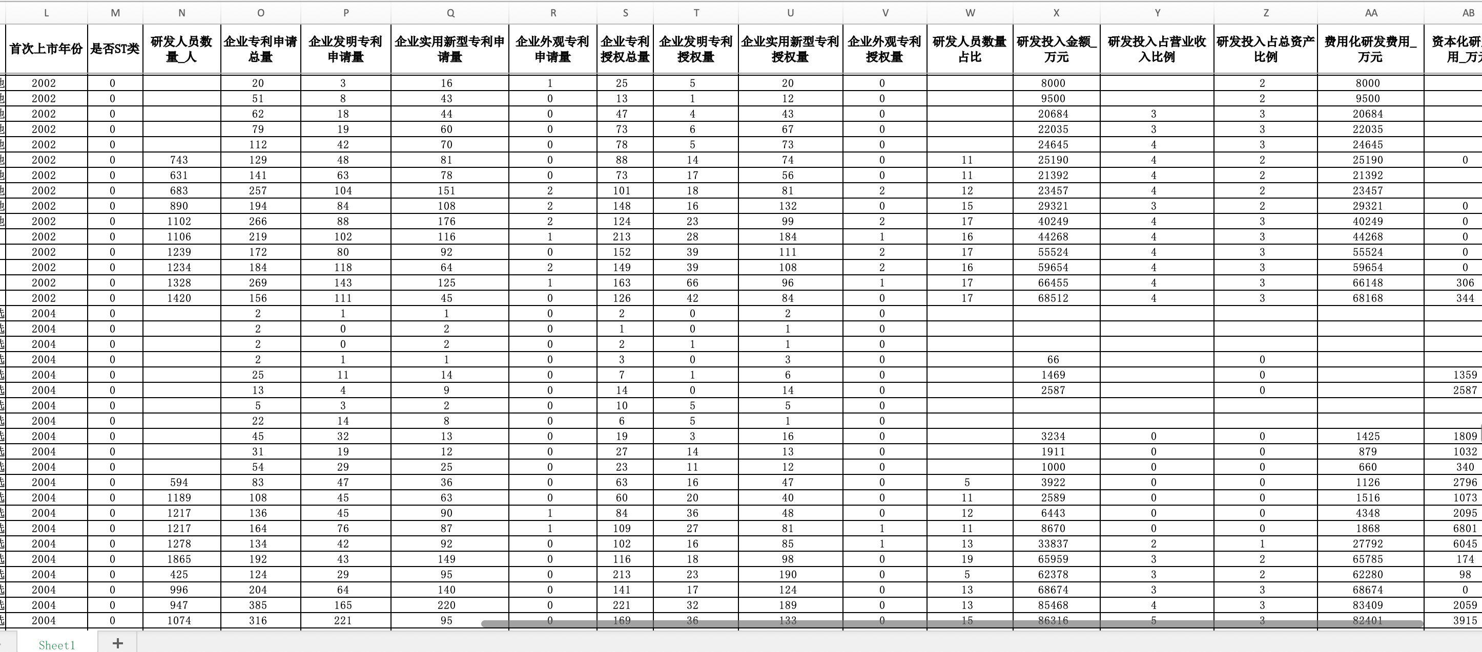
数据说明:系统整合上市公司年度研发投入信息与专利申请、授权数据,涵盖费用化与资本化研发支出、研发人员配置以及多类型专利产出指标,用于刻画企业创新“投入—产出—结构”特征。




三、指标说明

股票代码:上市公司证券代码

股票简称:上市公司简称

年份:统计年份

省份:企业注册地省份

城市:企业注册地城市

区县:企业注册地区县

省份代码:省级行政区代码

城市代码:地级市行政区代码

区县代码:区县级行政区代码

行业代码:证监会行业分类代码

行业名称:所属行业名称

首次上市年份:企业首次公开上市年份

是否ST类:是否被标注为ST或*ST

研发人员数量:企业研发人员总数

研发人员数量占比:研发人员占员工总数比例

研发投入金额:年度研发投入总额

研发投入占营业收入比例:研发强度指标之一

研发投入占总资产比例:研发强度指标之一

费用化研发费用:当期费用化确认的研发支出

资本化研发费用:当期资本化确认的研发支出

企业专利申请总量:年度专利申请数量合计

企业发明专利申请量:年度发明专利申请数量

企业实用新型专利申请量:年度实用新型专利申请数量

企业外观专利申请量:年度外观设计专利申请数量

企业专利授权总量:年度专利授权数量合计

企业发明专利授权量:年度发明专利授权数量

企业实用新型专利授权量:年度实用新型专利授权数量

企业外观专利授权量:年度外观设计专利授权数量




四、参考文献

顾夏铭,陈勇民,潘士远. 经济政策不确定性与创新——基于我国上市公司的实证分析[J]. 经济研究,2018,53(02):109-123。

赵奇锋,王永中. 薪酬差距、发明家晋升与企业技术创新[J]. 世界经济,2019,42(07):94-119。

郭田勇,孙光宇. 经济政策不确定性、融资成本和企业创新[J]. 国际金融研究,2021(10):78-87。

刘华珂,李旭超,聂禾,等. AI时代:城市数智化转型与企业创新[J]. 中国软科学,2024(02):38-54。



五、数据概览

上市公司研发投入与专利创新投入—产出面板数据(2007—2024年,企业层面,多维指标体系)

微信图片_20260104104722_272_215.png


微信图片_20260104104743_273_215.png

附件列表
二维码

扫码加我 拉你入群

请注明:姓名-公司-职位

以便审核进群资格,未注明则拒绝

栏目导航
热门文章
推荐文章

说点什么

分享

扫码加好友,拉您进群
各岗位、行业、专业交流群