全部版块 我的主页
论坛 提问 悬赏 求职 新闻 读书 功能一区 经管文库(原现金交易版)
55 0
2026-01-08

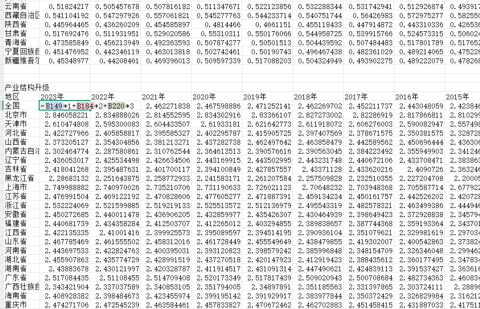
1992-2023年各省产业结构升级、产业结构高级化数据(含原始数据+计算过程+计算结果)

1、时间:1992-2023

2、来源:国家统计局、统计年鉴

3、指标:国内生产总值、第一产业增加值、第二产业增加值、第三产业增加值、第一产业比重、第二产业比重、第三产业比重、产业结构升级、产业结构高级化

4、范围:全国及31

5、计算说明:产业结构高级化=第三产业增加值/第二产业增加值

产业结构升级=第一产业比重*1+第二产业比重*2+第三产业比重*3

6、缺失情况:无缺失



23.png 23-1.png

二维码

扫码加我 拉你入群

请注明:姓名-公司-职位

以便审核进群资格,未注明则拒绝

相关推荐
栏目导航
热门文章
推荐文章

说点什么

分享

扫码加好友,拉您进群
各岗位、行业、专业交流群