全部版块 我的主页
论坛 新商科论坛 四区(原工商管理论坛) 商学院 组织管理与领导力
33 1
2026-01-25

绪论

本文重点探讨两个问题。第一个问题是对经典管理学中的组织理论进行批判,引入系统论的观点探索新的组织理论。

经典管理学的组织理论是建立在还原论,机械论和原则论的科学方法论上的。所以经典管理学的组织理论有如下问题:第一,孤立地看待组织成员,组织中的部门和组织本身。同时孤立地看待他们的行为和行为的结果。虽然经典管理学的组织理论也讨论组织成员之间的影响,组织环境对组织的影响。但是这些影响只被作为外部条件看待,而没有发现这些影响本身对组织和组织行为起的决定性作用。这就好比经典管理学只是把组织当做一个化学反应来研究,以上的这些影响只不过是化学反应产生时的外部温度、气压等条件。第二,经典管理学研究的核心对象是组织成员也就是人。而对于组织结构的研究过于肤浅。因为经典管理学对于组织结构的研究其核心着眼点还是岗位和职能,其核心还是人的问题。没有发现组织结构对于组织的状态和组织的行为起决定性的作用。第三,经典管理学没有发现组织的整体性特征。既是说组织作为一个整体与其任意一个组成部分或组织成员孤立时有不同的新的行为。也就是说组织的行为不是组织成员的行为的简单的加总和堆叠。打个比方来说,一个组织的100个员工都勤奋努力,组织也不一定有好的绩效。同时,组织中的任何一个部分或组织成员他在组织中具有与其孤立时不同的行为。也就是说对于一个组织成员他在某一特定组织中所展现出来的行为预期不在这个组织中或在其他组织中是根本不同的。

本文要研究的第二个问题是我们要重新讨论管理到底是什么,以及一个有效的组织管理过程到底是什么。

这里要说明的是虽然本文是建立在对经典管理学的核心理论进行批判的基础之上的,但不表示本文认为经典管理学的所有管理技术都是错误的不适用的。对于这些技术本文不做重复的讨论。

一、管理是一种控制系统

从控制论的角度讲,控制就是施控者影响和支配受控者的行为过程。受控对象必须有多种可能的状态或行为,有些合乎目的,有些不合乎目的,追求和保持那些合乎目的状态,避免和消除那些不合乎目的状态。施控者必须有多种可选择的手段,不同手段对受控者的效果不同。所有控制就是施控者选择合适手段作用于受控者,期望受控制达到预期状态。凡事复合这个范畴的问题实际上都是控制问题。所以管理就是一种控制系统(要注意的是这里说的控制和经典管理学中的控制职能不是一个概念)。管理就是通过对组织施加影响,使组织的状态或外部行为达到或保持管理者的预期。

所以,管理原理就是找到对于一般组织来说,管理手段和被管理者行为之间的对应关系。如下图所示:

图片3.png

二、组织是系统

这里的关键在于被管理者,也就是管理对象是谁?现代管理学认为管理的对象是组织和组织成员。从现代管理学原理的主要管理职能来看,其管理对象的核心是组织成员。通过管理手段改变组织成员的行为状态,从而改变整个组织的整体行为。但是,从系统论的观点来看这种理论是有问题的。因为系统具有关联性,构成系统的部分之间存在关联使得组织中的任何一部分的状态与其他部分的状态有关,因而具有与孤立时不同的状态。

那么组织上系统吗?

一般系统结构理论认为:系统Z(n)是由n个存在关联的部分e(1),…,e(i),…e(n)构成的整体。记作:

Z(n)={E(n),R*}

E(n)={e(i) / i=1,2,…,n; n≥2},其中R*表示部分e(1),…,e(i),…e(n)间存在的关联的集合。(P38,《一般系统结构理论》,暨南大学出版社,1998,林福永著)

任何一个组织都必须包含两个以上的人,且组织中的任何一个人即组织成员都至少和一个组织中的其他成员存在联系,所以组织是一类系统。组织和其他系统的根本区别在于组织和组织的部分都必须包括人。

三、组织成员状态、组织内部状态和组织行为

是否可以通过改变组织成员的行为状态从而改变组织的状态和组织行为呢?也就是说我们是否可以找到组织成员状态和组织状态、行为的对应关系呢?根据系统的定义我们可以得到如下函数关系:

Hz=(R,Sin)

Sin表示组织的内部状态,组织内每个组织成员的状态的集合。记作:Sin=(s1,…,si,…,snT,

       si∈Ai (i=1,2,…,n; n≥2),其中si,Ai分别表示部分e(i)的状态和状态空间。

Hz表示组织Z(n)的某种外部活动或表现,R表示组织的外部环境S对组织的作用。(P38,《一般系统结构理论》,暨南大学出版社,1998,林福永著)

从该函数关系我们似乎可以得出如下结论,如果在R不变的情况下,我们可以通过调整全部组织成员的状态来调整组织行为。但是,根据系统关系函数:

f(si(t),Rij,sj(t))=0。P43,《一般系统结构理论》,暨南大学出版社,1998,林福永著)

Rij指的是在时刻t时刻组织中的一部分e(i)对组织中的另一部分e(j)的作用因子。组织中的部分e(i)通过该作用因子对部分e(j)产生作用,使得组织中的一部分e(i)和另一部分e(j)间产生一定的关联。

从系统关系方程我们可以知道,调整任何组织成员的状态都必然使与其有关联的另一个或多个组织成员的状态发生变化。也就是说我们很难建立起每个组织成员的状态与组织内部状态的对应关系。

当组织成员数量较少时我们可以近似的建立每个组织成员的状态与组织内部状态的对应关系,但是当组织成员数量巨大或组织结构复杂时就无法近似的建立了。这就是现代管理学在小规模组织或组织中的部门较为有效,而在大规模组织的管理中无法有效的根本原因。

这里需要注意组织中的关系是有方向性的,部分I对部分F的关系,与部分F对部分I的关系不同。关系是一种有方向的变量,它不但能表示部分对部分的作用,也表示作用量的大小。

四、基于系统的一般性结构原理的管理理论

根据系统的一般结构原理,系统的状态和行为是系统环境和结构的函数。

Sz(t)=ψ1(S,)

Hz(t)=ψ2(S,)

θ=0

以及

Sz(t)=ψ1(S,Rz(t))

Hz(t)=ψ2(S,Rz(t))

θ≠0

Sz(t)表示组织在t时刻的状态,Hz(t)组织在t时刻的行为,S表示在t时刻的环境状态。

组织的环境E(S)指的是与组织Z(n)间存在关系的组织外部部分的集合。

组织的输入R(t)指的就是组织环境对组织的作用。通过前面关系的定义我们就知道组织输入仅指组织环境对组织的作用。也就是说我们要研究的组织环境仅仅是环境对组织有作用而组织对环境没有作用或者说组织对环境的作用不是我们的研究范围。

在环境E(S)中,组织Z(n)的结构指的是组织中在t时刻,所有关系Rij1≤i,j≥n;n≥2)的集合称为组织的结构。记为:

Rz(t)={Rij(t)/fij(si(t),Rij(t),sj(t))=0;1≤i,j≥n;n≥2}

同关系一样组织结构也是一种变量。组织是有层次的所以组织结构也是有层次的。

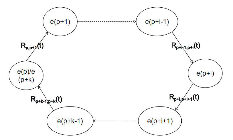
关系环的定义是:系统Z(n)在t时刻具有k个这样的关系Rp+i-1,p+i(t)(i=1,2,...,k,k≧2;e(p+k)≡e(p)),如下图,那么关系Rp+i-1,p+i(t)(i=1,2,...,k,k≧2;e(p+k)≡e(p))的集合称为关系环。记为:

Y(t)={Eo(k),Ro(t)};

Eo(k)={e(i)/i=1,2,,...,k,k≧2;e(p+k)≡e(p)}

Ro(t)={Rp+i-1,p+i(t)/fp+i-1,p+i(sp+i-1(t),Rp+i-1,p+i(t),sp+i(t))=0;i=1,2,...,k,k≧2;e(p+k)≡e(p)}

图片1.png

(《一般系统结构理论》,暨南大学出版社,1998,林福永著)

从以上定理我们可以得到如下的组织管理原理:

管理原理一:

对于没有关系环的组织,从组织的一般结构原理我们可知,其组织状态和组织行为仅仅是组织环境的函数。

控制组织状态或组织,仅需且只能通过调整组织环境而进行。如果组织环境保持不变,则组织的状态或组织的行为无法调整,也就是不具有能控性。即使强行对组织结构进行调整,只要不在支配层次产生关系环,根据这类组织的动力学特征,经过一段时间后,组织的状态或行为仍会回到初始状态。

以上原理就是经典管理学也进行过讨论。在泰勒的科学管理研究中,有研究表明改变生产环境,生产效率会产生相应变化。

管理原理二:

对于有关系环的组织,从组织的一般结构原理我们可知,其组织状态和组织行为是组织环境和组织结构的函数。

当组织环境保持不变时,可以通过调整组织结构,调整组织的状态和行为。条件是该层次上的关系环,能够进行调整且关系环不会消失。当系统环境保持不变时,如果组织的关系环不能发生变化,则组织的状态和行为保持恒定不变,即使对组织结构进行调整,经过一定周期组织状态和组织的结构和组织状态和行为仍会回到原来的初始状态。

这就告诉我们对于组织结构有关系环的组织,想要调整组织的状态和行为,仅仅调整组织环境是不够的,还需要调整组织结构,尤其是关系环。

管理原理三:

对于有关系环的组织,当环境发生变化时,可以调整组织结构使其相应发生变化,从而使组织的状态和组织的行为保持不变。当环境发生变化,组织中所有部分的状态随环境变化而变化,使得组织中的关系保持不变,则组织结构不发生变化,组织状态和组织行为只是环境的函数。

五、组织的支配层次

以上讨论表明如果我们想控制组织的状态或者组织的行为,可以通过调整组织的结构或者组织的环境。对于组织规模较小的,我们可以完全观测和控制组织的结构,但是对于规模较大的组织,在实际操作时很难完全掌握组织的全部关系。前面已经提到过组织是分层次的,根据一般系统结构定理对于系统的支配层次有组织状态和组织行为是系统支配层次、组织结构和组织环境的函数。

组织的支配层次指的是这一层次上的所有部分的状态仅是系统环境以及与它存在关系的部分的状态的函数。记作:

Sp(t)=φp(S(t),sp1(t),...,spi(t),...,spk(t))

Sz(t)=ψ1(S)

Hz(t)=ψ2(S)

θd =0

以及

Sz(t)=ψ1(S,Rzd(t))

Hz(t)=ψ2(S,Rzd(t))

θd≠0

Sz(t)表示组织在t时刻的状态,Hz(t)组织在t时刻的行为,S表示在t时刻的环境状态。

(《一般系统结构理论》,暨南大学出版社,1998,林福永著)

那么在组织中如何确定支配层次呢?本文认为组织成员的特定行为层次符合组织的支配层次。组织成员的特定行为指的是组织中的一部分e(i)对组织中的另一部分e(j)的作用中部分e(i)中的组织成员进行的人类行为。这里的关键是这个特定的行为一定要和组织的其他部分产生关系,如果组织成员在组织中的行为没有和其他组织的部分产生关系那就不是我们所说的特定行为。

组织成员的特定行为层次指的就是该组织中各部分都是组织成员的特定行为的那个层次。从组织管理的角度我们可以认为组织成员的特定行为作为组织的部分已经没有更小的结构,组织成员特定行为的状态仅仅是组织环境以及与它有关的其他组织行为的状态的函数。所以,组织成员的特定行为层次是组织的支配层次。这适用于所有组织。

对于有着复杂结构的组织,或者没有条件找到组织的所有关系。我们就可以在组织的成员特定行为层次上运用组织的管理原理。

二维码

扫码加我 拉你入群

请注明:姓名-公司-职位

以便审核进群资格,未注明则拒绝

全部回复
2026-1-26 13:12:11
谢谢分享~~
二维码

扫码加我 拉你入群

请注明:姓名-公司-职位

以便审核进群资格,未注明则拒绝

栏目导航
热门文章
推荐文章

说点什么

分享

扫码加好友,拉您进群
各岗位、行业、专业交流群