全部版块 我的主页
论坛 提问 悬赏 求职 新闻 读书 功能一区 经管文库(原现金交易版)
43 0
2026-02-24

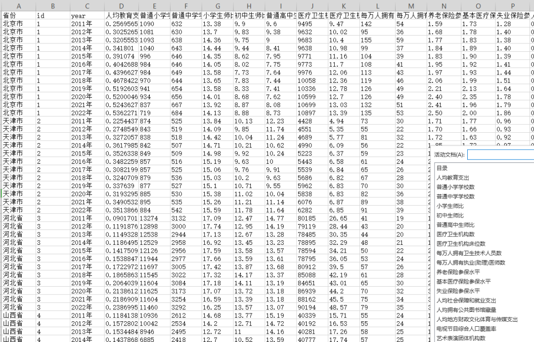
2011-2022年全国各省份城乡基本公共服务供给评价指标体系

城乡基本公共服务供给评价指标体系构建:从公共教育、医疗卫生、社会保障、文化服务四大角度构建,具体如下:

人均教育支出:地方财政教育支出/年末常住

人口

普通小学学校数

普通中学学校数:初中学校数+普通高中学校数

小学生师比

初中生师比

普通高中生师比

医疗卫生机构数

医疗卫生机构床位数

每万人拥有卫生技术人员数

每万人拥有执业(助理)医师数'

养老保险参保水平:城镇职工基本养老保险爹保人

/城镇单位丛业人员期末人

基本医疗保险参保水平:城镇职工基本医疗保险爹保人

/城镇单位丛业人员期末人

失业保险参保水平:失业保险爹保人数/城镇单位

从业人员期末人数

人均社会保障和就业支出:地方财政社会保障和就业支出

/年末常住人口

人均拥有公共图书馆藏量

人均地方财政文化体育与传媒支出:地方财政文化体育与传媒支出

/年末常住人口

电视节目综合人口覆盖率

艺术表演团体机构数

结果

640.png 640 (1).png
附件列表
二维码

扫码加我 拉你入群

请注明:姓名-公司-职位

以便审核进群资格,未注明则拒绝

栏目导航
热门文章
推荐文章

说点什么

分享

扫码加好友,拉您进群
各岗位、行业、专业交流群