全部版块 我的主页
论坛 提问 悬赏 求职 新闻 读书 功能一区 经管文库(原现金交易版)
40 3
2026-03-01
董事会多样性

持续更新,后续关注我后免费获取更新版本
不管什么时候毕业或者发期刊用到,都能用到最新的数据

【原创整理,严禁转载,转载必究】


参考文献
[1]郝云宏,汪曦,范剑飞.董事会多样性会抑制大股东掏空吗?——基于团队多样性的视角[J].郑州大学学报(哲学社会科学版),2018,51(01):41-45+158.
[2]曲亮,黄登峰,郑燕妮.多样性的董事会能提升国有企业的绩效吗?——基于中国上市公司的实证分析[J].郑州大学学报(哲学社会科学版),2018,51(01):46-51.
[3]黄译锐. 董事会多样性对企业研发投入的影响:股权集中度的调节效应[D].西安理工大学,2019.

计算说明


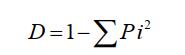
我们使用吉布斯和马丁1962年创立、后来又被布劳Blau (2000)提到的人口研究中常用的一种衡量方法一多样性指数 (D)来衡量董事会的多样性:
091947h09pbbjwt8sawsq2.jpg
其中P是一个类别中个体的比例,i是类别的数量。多样性指数为1 (0)表明群体是完全多样(均匀)的。随着类别数量的增加,D的最大值也随之增加。例如,如果总体有四个类别(每个类别的表示相等),则D的最大值为0.75;如果人群中有五个类别,多样性指数则增加到0.8。
本文借鉴以往多样性研究中最常用且最具代表性的多样性指标,将董事会多样性分为年龄、性别这些客观的人口统计学多样性特征,以及教育程度背景、职业背景、金融背景这些后天培养的多样性特征。由于我国与海外国家的历史及民族环境不同,上市公司无论主板市场还是创业板市场,其董事会多为中国人组成,且民族多数为汉族,因此本文在董事会多样性中没有加入国家以及民族多样性。最后以性别、年龄、教育程度、职业背景和
金融背景这五个多样性特征。
  • Gender_d代表性别多样性指数,包括两个类别(即,男性及女性),由于我国上市公司董事会成员大部分为男性,因此该指数在本文中越大表示女性比例越大。
  • Age_d是年龄多样性指数,分为5类,分别为40岁及以下、40-49 岁、50-59 岁、60-69岁、70岁及以上。
  • Degree_d是董事学历背景的多元化指数,按董事成员学历分为中专及中专以下、大专、本科、硕士研究生、博士研究生及以上等五个等级,多样性指数越大说明董事会成员的教育水平差异越大。
  • 职业背景包含生产、研发、设计、人力资源、管理、市场、金融、财务、法律,以及其他或不明确方向。职业背景多样性表示为Funback_ d,数值越大表示职业背景差异越大。
  • 金融背景通常可以表示企业与金融机构的社会关系。包括简历中披露其曾具有在金融监管、银行、保险、证券、基金、期货、信托、投资管理等公司的工作经验。金融背景多样性表示为Finback_ d, 数值越大表示具有金融背景的种类越丰富。

数据说明

样本选择:全部A股2008-2024年数据

包含两个版本:一份未剔除、一份剔除金融和ST、*ST或PT

注:提供了剔除所需数据和剔除代码,若无需做该项剔除处理,自行删除相关代码重新运行即可

并对连续型变量进行了1%和99%分位数的缩尾处理

每个压缩包都附有初始数据,计算代码,参考文献和最终数据


赠送超值上市基本信息:
证券代码、统计截止日期、上市公司ID、证券简称、ABH股交叉码、行业名称、行业代码、中文全称、公司成立日期、首次上市日期、法人代表、注册资本、公司网址、经营范围、主营业务、上市状态、注册具体地址、注册地址所属省份、注册地址所属城市、注册地经度(E)、注册地纬度(N)、公司办公地址、办公地址经度、办公地址纬度、办公地址邮政编码等。

再额外赠送超值上市常用分组指标:是否 ST或PT、是否金融业、资产负债率是否大于1、是否沪深A股、
是否北京A股、行业名称、行业代码、所属省份代码、所属省份、所属城市代码、所属城市、分东部地区、中部地区、西部地区、是否高科技行业、是否重污染行业

数据截图

QQ截图20260301111655.jpg


分年份数据量统计
QQ截图20260301111623.jpg

缩尾后的描述性统计
    QQ截图20260301111613.jpg


QQ截图20260301111724.jpg









附件列表
二维码

扫码加我 拉你入群

请注明:姓名-公司-职位

以便审核进群资格,未注明则拒绝

全部回复
昨天 11:19

整理所花费时间远超成本价

二维码

扫码加我 拉你入群

请注明:姓名-公司-职位

以便审核进群资格,未注明则拒绝

昨天 11:19


本人经济学博士毕业,如过您有具体的数据需要定制,可以私信联系,提供数据查找、整理数据以及实证分析服务!提供售后服务,所有私信和评论都会及时回复,有任何疑问可随时联系!


二维码

扫码加我 拉你入群

请注明:姓名-公司-职位

以便审核进群资格,未注明则拒绝

昨天 11:19
  可以提供代做实证分析和复刻论文服务

二维码

扫码加我 拉你入群

请注明:姓名-公司-职位

以便审核进群资格,未注明则拒绝

相关推荐
栏目导航
热门文章
推荐文章

说点什么

分享

扫码加好友,拉您进群
各岗位、行业、专业交流群