全部版块 我的主页
论坛 提问 悬赏 求职 新闻 读书 功能一区 经管文库(原现金交易版)
43 0
2026-03-09
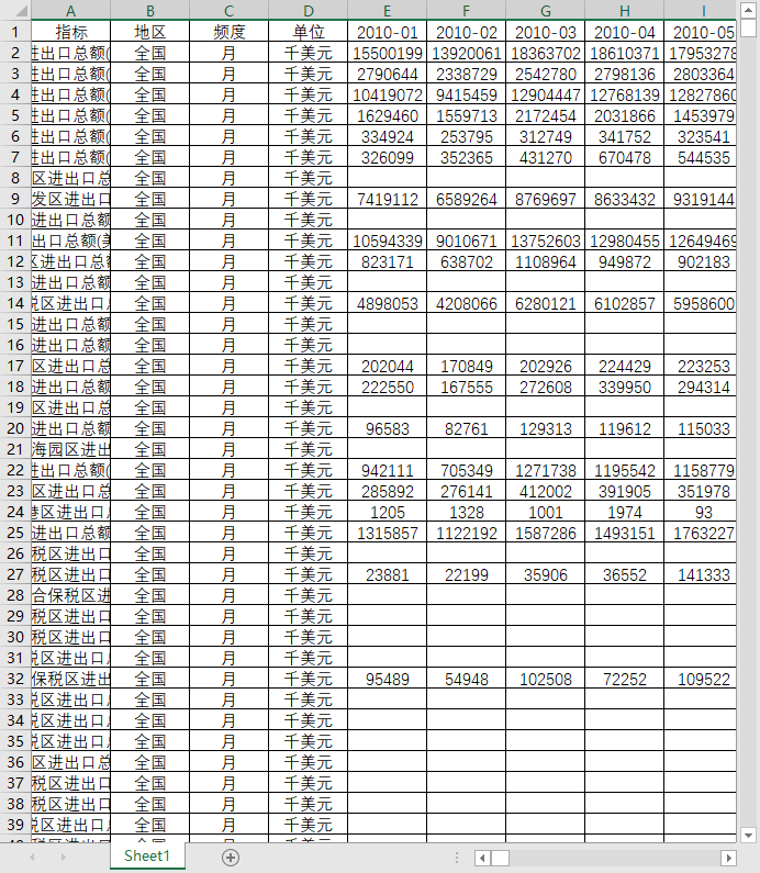
全国省份城市区县各经济特区保税区保税物流中心等进出口总额当期累计同比增速2010-2025月度美元
(其中2018-2025的月度数据较完整)

全国宏观经济统计月度数据(具体看文件名标识)
每类统计指标包含的细化指标大致有:
进出口总额、进口额、出口额(美元)_当期(当月数据)金额
进出口总额、进口额、出口额(美元)_累计(1-当月累计)金额
进出口总额、进口额、出口额(美元)_当期同比增速(%)
进出口总额、进口额、出口额(美元)_累计同比增速(%)

数据来源:中经数据库原始来源为各地统计局公布的数据
数据范围:中国全国口径
数据期间:2000-2025(具体参见文件名标识的年份区间)
主要指标:
包含240多个经济特区、保税区、保税物流中心的进出口数据:
经济特区
厦门特区
深圳特区
珠海特区
汕头特区
海南特区
经济技术开发区
高新技术产业开发区
综合实验区
保税区
天津港保税区
大连保税区
上海外高桥保税区
宁波保税区
福州保税区
厦门象屿保税区
广州保税区
深圳福田保税区
珠海保税区
珠澳跨境工业区珠海园区
保税港区
张家港保税港区
海南洋浦保税港区
综合保税区
洋山特殊综合保税区
北京天竺综合保税区
天津泰达综合保税区
天津东疆综合保税区
天津港综合保税区
天津滨海新区综合保税区
石家庄综合保税区
曹妃甸综合保税区
秦皇岛综合保税区
廊坊综合保税区
太原武宿综合保税区
呼和浩特综合保税区
满洲里综合保税区
鄂尔多斯综合保税区
沈阳综合保税区
大连湾里综合保税区
大连大窑湾综合保税区
营口综合保税区
长春兴隆综合保税区
珲春综合保税区
哈尔滨综合保税区
黑龙江绥芬河综合保税区
上海漕河泾综合保税区
嘉定综合保税区
上海奉贤综合保税区
上海松江综合保税区
上海青浦综合保税区
上海金桥综合保税区
上海浦东机场综合保税区
上海外高桥港综合保税区
南京综合保税区
无锡高新区综合保税区
徐州综合保税区
常州综合保税区
苏州工业园综合保税区
苏州高新技术产业开发区综合保税区
吴中综合保税区
南通综合保税区
连云港综合保税区
淮安综合保税区
盐城综合保税区
扬州综合保税区
镇江综合保税区
泰州综合保税区
常熟综合保税区
江阴综合保税区
昆山综合保税区
吴江综合保税区
太仓港综合保税区
武进综合保税区
杭州综合保税区
宁波北仑港综合保税区
宁波梅山综合保税区
。。。。。
宁波栎社保税物流中心
温州保税物流中心
湖州保税物流中心
杭州保税物流中心
义乌保税物流中心
宁波镇海保税物流中心
合肥空港保税物流中心
蚌埠(皖北)保税物流中心
铜陵(皖中南)保税物流中心
安庆(皖西南)保税物流中心
安徽皖东南保税物流中心
翔福保税物流中心
厦门火炬(翔安)保税物流中心
泉州石湖港保税物流中心
漳州台商投资区保税物流中心
龙南保税物流中心
青岛西海岸新区保税物流中心
烟台福山回里保税物流中心
鲁中运达保税物流中心
菏泽内陆港保税物流中心
青岛保税港区诸城功能区保税物流中心
河南德众保税物流中心
河南商丘保税物流中心
黄石棋盘洲保税物流中心
宜昌三峡保税物流中心
襄阳保税物流中心
荆门保税物流中心
仙桃保税物流中心
长沙金霞保税物流中心
株洲铜塘湾保税物流中心
深圳机场保税物流中心
汕头保税物流中心
江门大广海湾保税物流中心
湛江保税物流中心
中山保税物流中心
佛山国通保税物流中心
东莞清溪保税物流中心
柳州保税物流中心
防城港保税物流中心
重庆果园保税物流中心
重庆铁路保税物流中心
重庆南彭公路保税物流中心
成都空港保税物流中心
天府新区成都片区保税物流中心
南充保税物流中心
昆明高新保税物流中心
腾俊国际陆港保税物流中心
武威保税物流中心
青海曹家堡保税物流中心
石嘴山保税物流中心
奎屯保税物流中心
。。。。

13959bef0723ab7ae372651a56729448.png
附件列表
13959bef0723ab7ae372651a56729448.png

原图尺寸 97.05 KB

13959bef0723ab7ae372651a56729448.png

二维码

扫码加我 拉你入群

请注明:姓名-公司-职位

以便审核进群资格,未注明则拒绝

栏目导航
热门文章
推荐文章

说点什么

分享

扫码加好友,拉您进群
各岗位、行业、专业交流群