全部版块 我的主页
论坛 数据科学与人工智能 数据分析与数据科学 SAS专版
3269 9
2012-10-19
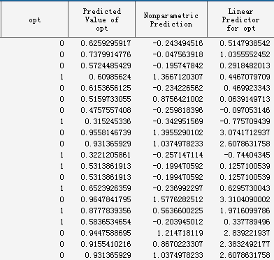
flag是个二分类变量,之前用logistic回归效果一般,现改用非参数logistic回归分析,预测结果类似:-2.12298E76
4.689455E75
-2.15764E76
结果明显有问题,不知道是什么原因,程序如下:
PROC GAM data=m2;
model flag(event='1') = spline(day8)
spline(sqrt_dur8)
spline(mean_dur)
/dist=logist;
output out=estimate pred uclm lclm;
score data=m2  out=predict_result;
run;



二维码

扫码加我 拉你入群

请注明:姓名-公司-职位

以便审核进群资格,未注明则拒绝

全部回复
2012-10-19 12:38:23
可能和自由度的选取有关吧,
/dist=logist method=gcv;
用广义交叉核实来选取自由度试试
二维码

扫码加我 拉你入群

请注明:姓名-公司-职位

以便审核进群资格,未注明则拒绝

2012-10-19 13:18:32
ziyenano 发表于 2012-10-19 12:38
可能和自由度的选取有关吧,
/dist=logist method=gcv;
用广义交叉核实来选取自由度试试
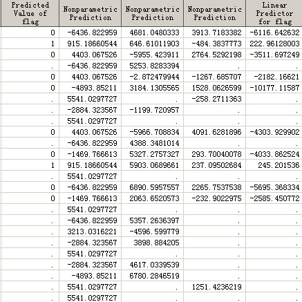
用广义交叉核实来选取自由度试了下,预测概率仍然不是在[0,1]区间,并且预测的flag值除了0、1外,出现了空值
二维码

扫码加我 拉你入群

请注明:姓名-公司-职位

以便审核进群资格,未注明则拒绝

2012-10-19 15:51:15
学习中,向读懂迈进
二维码

扫码加我 拉你入群

请注明:姓名-公司-职位

以便审核进群资格,未注明则拒绝

2012-10-19 16:02:03
xulimei1986 发表于 2012-10-19 13:18
用广义交叉核实来选取自由度试了下,预测概率仍然不是在[0,1]区间,并且预测的flag值除了0、1外,出现了空 ...
能不能截张图?
二维码

扫码加我 拉你入群

请注明:姓名-公司-职位

以便审核进群资格,未注明则拒绝

2012-10-19 17:20:04
图片见附件
附件列表
aaa.jpg

原图尺寸 89.5 KB

aaa.jpg

二维码

扫码加我 拉你入群

请注明:姓名-公司-职位

以便审核进群资格,未注明则拒绝

点击查看更多内容…
相关推荐
栏目导航
热门文章
推荐文章

说点什么

分享

扫码加好友,拉您进群
各岗位、行业、专业交流群