全部版块 我的主页
论坛 经济学论坛 三区 制度经济学
5649 13
2013-01-12
这书来回读了数次,费去学士修士生涯共三年多。先是战战兢兢,若干痛苦。后来理解到张批前人,只批了不懂交易费用、风险,而他自己忘了搞清效率问题的本质。
最初那部分,他批别人不懂处,是对的。后半的实证针对20、30年代的中国农业,虽无从验明,但在计量分析上,据说是得了道。是鸿文没错。
回望自己,经济学的博士课程还有三年余,我屈指一算,写不出《佃》的规模和级别。只是批《佃》的理论,谁都够格。因为那批判,早经过Stiglitz等等巨匠,搞得举目之处尸横遍野。总归起来,张的理论问题有一个,他模型大错,且结论小错。这节以张的1969年平装版The theory of share tenancy为准(下称《佃》),提出问题,作一修正模型。
(一.1)
效率性问题
见《佃》p.19起,The solution in mathematics这节。
首先,(1)模型未按套路来考察最优问题。这点被批最多,其中Bardhan批得实在。这问题最简单。即张的奇异方法论,不求主体均衡,直接给出了市场均衡。那么理论部分全盘皆输。考虑行文规矩,按下不表。
其次,(2)张假设地主可以选择佃农的劳动量。也见上述一节。他以契约为前提,内里必然包含了劳动集约程度之规定;因为假设没有这规定,其内容就错了。正确看法是,对劳动量 t 作边际调整的是佃农,而非地主。这点也易懂。
其三,(3)张认为租金率 r 不是竞争结果。致使分析上有矛盾。优化问题里,他设 r 为地主的操作变量,非但没能解决问题,反而加大了困难。通常考虑劳动量 t 由佃农决定;注意到,租金率(而非租金)由市场决定;最后给定 r ,佃农各自作出最优要素投入。经济分析的正道如是。张的模型似乎有新意,把学部时代的我忽悠得够呛。只现在看来,他错就在假设的局限,本质是地主作为土地供给垄断者的范围之内。这和先前的完全竞争假设不对应。
最后,(4)张还假设土地是无限可分的。给出了 h = H / M 。最是糟糕的这条,最后来讲。首先, h 成了操作变量,作为经济现象,就是地主把土地资源细分给佃农,而式子里, h 的值越大,则地主效用越大(见张的目的函数max)。且张没设 h 的上限值,在暗地里,土地可以分成无穷小块(完全竞争使佃农人口 M 正无穷大)。进一步看,h 越大,不止那地主,连佃农的效用也越大。既然先设收获递减,则 h 越大,单位收获增加;而不管 h 如何变大,主体边际效用,自然是正数。
(一.2)
正确的模型
余下是针对上述4点的修正。基本前提(那正确的部分)沿用张五常,见于《佃》p.19起的数学分析。即,(a)多数(自耕)地主,多数佃农;(b)要素有土地和劳动;(c)完全竞争市场;(d)工资率和租金率内生;(e)前提(d)成立,(a)中主体在其余前提下追求最优。按这意思,用稍拓展的正统方法写出出较《佃》原文正确的模型,应如下述。
佃农最大化:
1.jpg
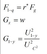
地主最大化:
2.jpg
其中,Ui,效用函数;F,佃农土地生产函数;G,地主自耕地生产函数;C,消费量;H,佃农借入面积;q:地主租出面积;l1,佃农土地的劳动投入量;l2,代替劳动市场的劳动投入量;x,自耕地的雇佣劳动投入量;y,自耕地的自家劳动投入量;r,租率;w,市场工资率。
FOC情况如下:
佃农的FOC:
3.jpg
地主的FOC:
4.jpg
从佃农FOC易知,张五常《佃》所设想的佃农制度之下,边际生产性不等于要素价格。张错了。这是经济学大一、大二学生常犯的错。(详细后述)
二维码

扫码加我 拉你入群

请注明:姓名-公司-职位

以便审核进群资格,未注明则拒绝

全部回复
2013-1-12 20:25:27
很牛啊
二维码

扫码加我 拉你入群

请注明:姓名-公司-职位

以便审核进群资格,未注明则拒绝

2013-1-12 20:28:34
期望看到完整的批文
二维码

扫码加我 拉你入群

请注明:姓名-公司-职位

以便审核进群资格,未注明则拒绝

2013-1-16 16:43:41
学习了,高深
二维码

扫码加我 拉你入群

请注明:姓名-公司-职位

以便审核进群资格,未注明则拒绝

2013-1-18 01:03:29
厲害。。深奧。。
二维码

扫码加我 拉你入群

请注明:姓名-公司-职位

以便审核进群资格,未注明则拒绝

2013-1-23 23:57:38
虽不明但觉厉
二维码

扫码加我 拉你入群

请注明:姓名-公司-职位

以便审核进群资格,未注明则拒绝

点击查看更多内容…
相关推荐
栏目导航
热门文章
推荐文章

说点什么

分享

扫码加好友,拉您进群
各岗位、行业、专业交流群