全部版块 我的主页
论坛 提问 悬赏 求职 新闻 读书 功能一区 悬赏大厅
2220 3
2013-03-30
悬赏 300 个论坛币 未解决




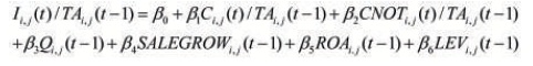
上面是两个关于内部资本市场存在性和效率性测定的模型,都是用的Shin和Stulz(1998)的模型以及敏感性现金流法。
看文献的时候遇到了一些问题,向大家请教><~谢谢!

一、关于存在性的测定:

存在性.jpg

1.为什么投资和现金流的分母用的都是资产,而不选其他的变量(比如销售收入)?(因为投资和现金流都是现金流量表上的变量,不知道这么和资产对比有什么意义)
2.为什么预期的财务杠杆(LEV)与投资的关系是正相关?也就是说...为什么负债率越高,预期投资越高?

二、关于效率性的测定:

效率.jpg
1.为什么这里选择的是销售收入作为权重?
2.现金流/销售收入 和 投资/销售收入 应该怎么理解?
3.现金流水平之差和投资水平之差的乘积有什么意义?
4.其实这整个模型是怎么证明内部资本市场有效的我都不是很理解...有人能够帮我解释一下么?



二维码

扫码加我 拉你入群

请注明:姓名-公司-职位

以便审核进群资格,未注明则拒绝

全部回复
2013-3-30 00:42:39
太有难度了。。。。。
二维码

扫码加我 拉你入群

请注明:姓名-公司-职位

以便审核进群资格,未注明则拒绝

2013-3-30 22:37:27
legionnaire 发表于 2013-3-30 00:42
太有难度了。。。。。
是...我也觉得挺有难度的...尤其是第二个模型不好理解...
二维码

扫码加我 拉你入群

请注明:姓名-公司-职位

以便审核进群资格,未注明则拒绝

2013-4-1 20:42:36
修改了一点提的问题~><~顶一下><~
二维码

扫码加我 拉你入群

请注明:姓名-公司-职位

以便审核进群资格,未注明则拒绝

相关推荐
栏目导航
热门文章
推荐文章

说点什么

分享

扫码加好友,拉您进群
各岗位、行业、专业交流群