经管之家App
让优质教育人人可得
立即打开
全部版块
我的主页
›
论坛
›
数据科学与人工智能
›
数据分析与数据科学
›
MATLAB等数学软件专版
关于matlab绘图求助
楼主
青丝三千斩
1310
0
收藏
2013-04-09
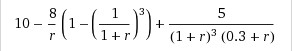
我想给这么一个函数画图象
表达式为:y=10-8/r*(1-(1/(1+r))^3)+5/((1+r)^3*(0.3+r))
在matlab中使用了如下代码:
r=-1:0.1:5;
y=10-8./r.*(1-(1./(1+r)).^3)+5./((1+r).^3.*(0.3+r));
plot(y)
得出了很奇怪的结果如下所示
可是我用mathematica则画出了这样的结果:
经过对比,mathematica给出来的结果应该是正确的,为什么matlab给出的结果不对呢?求解,,。
附件列表
QQ截图20130409190514.jpg
原图尺寸 4.63 KB
扫码加我 拉你入群
请注明:姓名-公司-职位
以便审核进群资格,未注明则拒绝
相关推荐
[求助]Matlab模拟编程_高手请进
[求助]刚刚接触matlab请高人帮忙做一下
MATLAB R2007基础与提高 绝佳收藏
求助!一个简单的matlab的数学计算
Matlab疑难解答总结~~~
求助 matlab 矢量化
MATLAB读取矩阵老是出错
matlab中所有函数解析
matlab求解带无穷积分的方程
医学背景小白开始Matlab
栏目导航
MATLAB等数学软件专版
经管文库(原现金交易版)
外文文献专区
真实世界经济学(含财经时事)
马克思主义经济学
学术道德监督
热门文章
【重磅权威】2000-2024年上市公司人力资本流 ...
求助英文文献一篇
中国力量席卷全球- 绿色赋能地产先行 掀起全 ...
中国风能太阳能资源年景公报(2025年)
《寻路集:在全球网络中寻找合适节点 》周其 ...
几何 (第一卷)[法] M. 贝尔热
几何(第三卷)[法] M. 贝尔热
我该如何记住你?智能体记忆系统的演化之路
CDA数据分析脱产就业班于2026年3月7日开班! ...
表格结构数据的核心特征及具象实例解析
推荐文章
2026JG学术冬训营:从Stata初高到Python机器 ...
【必看】【本版版规,欢迎发悬赏贴求助】
26年寒假天津站|Gemini论文写作&数据分析 ...
关于如何利用文献的若干建议
关于学术研究和论文发表的一些建议
关于科研中如何学习基础知识的一些建议 (一 ...
一个自编的经济学建模小案例 --写给授课本科 ...
AI智能体赋能教学改革: 全国AI教育教学应用 ...
2025中国AIoT产业全景图谱报告-406页
关于文献求助的一些建议
说点什么
分享
微信
QQ空间
QQ
微博
扫码加好友,拉您进群
各岗位、行业、专业交流群