经管之家App
让优质教育人人可得
立即打开
全部版块
我的主页
›
论坛
›
数据科学与人工智能
›
数据分析与数据科学
›
MATLAB等数学软件专版
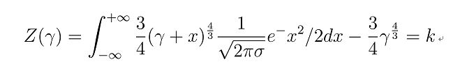
matlab求解带无穷积分的方程
楼主
低调的传说哥
1921
0
收藏
2018-09-04
悬赏
50
个论坛币
未解决
k是比当sigma取1,gamma取1对应的值大一点的常数,令sigma取0.1到2,步长0.05,画出对应的sigma和gamma的图。那个dx不是在右上角,编错了,是大的
编程小白,这个问题matlab能解吗
扫码加我 拉你入群
请注明:姓名-公司-职位
以便审核进群资格,未注明则拒绝
相关推荐
[下载]MATLAB仿真技术与应用
非常好的MATLAB金融教程——中文的哦
matlab历史命令窗口显示时间问题
用matlab做遗传规划研究的进来交流啊
Matlab如何选出满足条件的行?
求助:matlab求ar过程系数
MATLAB 教程收集 装机~入门~精通
Matlab维纳噪声抑制
matlab 精要 编程及高级应用
matlab 音频分析 频谱
栏目导航
MATLAB等数学软件专版
stata专版
行业分析报告
经管文库
文献求助专区
数据交流中心
热门文章
2026中国制造迈向全球价值链中高端:转型、 ...
2026年中国闪电仓模式深度解析 即时零售赛道 ...
2026年AI数据采集趋势:网络数据基础架构的 ...
威图赋能食品饮料行业高效可持续发展白皮书
【常用DID,24更新!】2000-2024上市公司绿色 ...
【热点DID,顶刊方法!】2002-2024我国地方ZF ...
OpenClaw+Claude Code丨从"手动科研"到 ...
OpenClaw vs Hermes:一文深入理解两大通用 ...
CDA数据分析脱产就业班在2026年3月7日开班了 ...
从数据源头到商业洞察:CDA数据分析师视角下 ...
推荐文章
五一充电,学术突围!四大AI赋能王牌课程, ...
关于学术研究和论文发表的一些建议
几种免费下载文献的方法----我的文献应助经
【必看】【本版版规,欢迎发悬赏贴求助】
【新课】26年3月|Gemini辅助论文写作与数据 ...
关于如何利用文献的若干建议
关于科研中如何学习基础知识的一些建议 (一 ...
一个自编的经济学建模小案例 --写给授课本科 ...
AI智能体赋能教学改革: 全国AI教育教学应用 ...
2025中国AIoT产业全景图谱报告-406页
说点什么
分享
微信
QQ空间
QQ
微博
扫码加好友,拉您进群
各岗位、行业、专业交流群