全部版块 我的主页
论坛 提问 悬赏 求职 新闻 读书 功能一区 经管百科 爱问频道
972 6
2013-04-11
large_ZNM5_7bce00000525118c.jpg
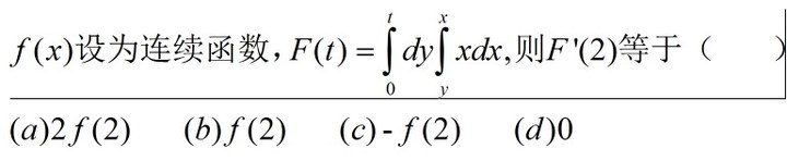
我主要是不懂右边 x从y积到x的结果是什么? 谢谢了!
二维码

扫码加我 拉你入群

请注明:姓名-公司-职位

以便审核进群资格,未注明则拒绝

全部回复
2013-4-11 22:44:12
经过变换积分次序计算,好像选A。。
二维码

扫码加我 拉你入群

请注明:姓名-公司-职位

以便审核进群资格,未注明则拒绝

2013-4-11 22:51:20
你把xdx部分的x换成别的变量然后再算一下,可能是都用x把你搞晕了,实际上这部分中的x与积分大小没什么关系。
二维码

扫码加我 拉你入群

请注明:姓名-公司-职位

以便审核进群资格,未注明则拒绝

2013-4-11 23:09:18
芸航 发表于 2013-4-11 22:51
你把xdx部分的x换成别的变量然后再算一下,可能是都用x把你搞晕了,实际上这部分中的x与积分大小没什么关系 ...
谢谢哈! 那这个F(t)最终积出来是什么啊?
二维码

扫码加我 拉你入群

请注明:姓名-公司-职位

以便审核进群资格,未注明则拒绝

2013-4-11 23:30:26
我也忘了具体怎么算了,f(x)在积分中的什么位置啊?
二维码

扫码加我 拉你入群

请注明:姓名-公司-职位

以便审核进群资格,未注明则拒绝

2013-4-12 01:18:13
你肯定丢了什么。 f(x)并没有出现在你的积分中。就你现在的写法, F 是t和y的函数,并不仅仅是t的函数。
二维码

扫码加我 拉你入群

请注明:姓名-公司-职位

以便审核进群资格,未注明则拒绝

点击查看更多内容…
栏目导航
热门文章
推荐文章

说点什么

分享

扫码加好友,拉您进群
各岗位、行业、专业交流群