全部版块 我的主页
论坛 金融投资论坛 六区 金融学(理论版) 金融工程(数量金融)与金融衍生品
3610 2
2013-04-19
看了《term structure movements and pricing interest rate contingent claims》这篇文章,里面公式(12)和(13)怎么得出的,请教一下?
另外:咨询一下学习金融学的方法
我是这样学习的:就一本教材Shreve的《随机金融分析》看了两遍,几乎把里面的所有计算和公式演算和推导了,(习题没做)然后根据后面的参考文献,下载一些经典的原论文学习。但是,这种方法很慢,并且,很多原论文都不能完全理解。我现在是博一,别人都开始写论文了,我还这样,心里很着急。感觉方法错了。请教大家该怎么和快速发论文结合一下。(我是跨专业的,原来是管理学。用这种方式补充金融学,当然以前也学过金融学,很肤浅的)
二维码

扫码加我 拉你入群

请注明:姓名-公司-职位

以便审核进群资格,未注明则拒绝

全部回复
2013-4-19 20:11:20
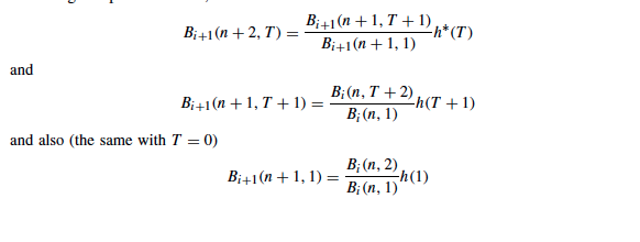
begin from

P(T)=P(T+1)/P(1)*h(T)

h here is the so called perturbation function which only depends on the time to maturity, the beginning time is always 1. This indicates h(T) is actually h(1,T). (of course you can also take it as beginning from 0, since P(0)=1, we just ignore it).

In this case, h(T) can never goes forward, such as we can not write P(T)=P(T+2)/P(2)*h(T),because in this case, h(T) goes from 2.

Instead we can do the following:

P(T+1)=P(T+2)/P(1)*h(T+1)

P(1)=P(2)/P(1)*h(1) ( forgive my massy in notation, P(1) on the left is not the same as P(1) on the right. They begins in different node, but I think you know what I mean, P(1) on the left is actually the forward 1 yr discount factor, while the right are all spot.)

so put the P(T+1) and P(1) into P(T)=P(T+1)/P(1)*h(T), you get the result. For expression neat, I omit all i+1 in the subscript, I take a sreenshot from a book, maybe it is much more clear: Screen Shot 2013-04-19 at 8.17.28 AM.png Screen Shot 2013-04-19 at 8.17.47 AM.png

It is very good to go through Shreve's book and read original papers. But you know the model on the text books are all very old and have little space to improve. What I suggest is that you find some very new models and implement it and find the draw backs of them. Then, you can make some improvements. The ultimate goal for phd, I thinks is one day you can build your own models.

best,

二维码

扫码加我 拉你入群

请注明:姓名-公司-职位

以便审核进群资格,未注明则拒绝

2013-4-20 09:35:01
Chemist_MZ 发表于 2013-4-19 20:11
begin from

P(T)=P(T+1)/P(1)*h(T)
in my opinion,you are 大牛 of finanace
tks a lot
love you very much
二维码

扫码加我 拉你入群

请注明:姓名-公司-职位

以便审核进群资格,未注明则拒绝

相关推荐
栏目导航
热门文章
推荐文章

说点什么

分享

扫码加好友,拉您进群
各岗位、行业、专业交流群