经管之家App
让优质教育人人可得
立即打开
全部版块
我的主页
›
论坛
›
提问 悬赏 求职 新闻 读书 功能一区
›
悬赏大厅
求助结构方程模型画图的问题
楼主
图层层
1920
0
收藏
2013-05-04
悬赏
1
个论坛币
未解决
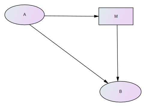
我的论文涉及到中介变量的检验,中介变量M有8个题项,我可以直接求平均将M看作是一个显变量吗?
如上的画图可以吗?长方形和椭圆形能这样存在吗?
扫码加我 拉你入群
请注明:姓名-公司-职位
以便审核进群资格,未注明则拒绝
相关推荐
请问如下的模型图如何做结构方程模型?
有关结构方程模型的问题
结构方程模型,求解
小白求救:结构方程模型结果路径图中的中介作用解释
请问大神们 ,我用结构方程模型出来的结果是A对B为正,B对C为负,A对C为正
结构方程模型变量的性质
中介变量多个维度
用AMOS做结构方程模型,加入中介变量后,主效应的路径系数不显著了
结构方程模型2个中介变量请教?
结构方程模型可以没有中介变量吗?
栏目导航
悬赏大厅
经管在职博
数据交流中心
学术道德监督
stata专版
行业分析报告
热门文章
相对于Harness这个词,我更钟情控制论:从控 ...
Expert Choice软件(ahp层次分析法软件)含序 ...
2026 AI趋势报告(中英)
2026全球数智化人才指数报告
比亚迪一季度净利大跌55% 六年来最大跌幅
当Stata遇上 AI 智能体:你的实证研究,正在 ...
从数据仓库到智能取数:CDA数据分析师视角下 ...
CDA 认证考试大纲 2025 重磅更新:一二级考 ...
A Practical Guide to Logistic Regression ...
GraphPad Prism 多因素方差分析
推荐文章
五一充电,学术突围!四大AI赋能王牌课程, ...
关于学术研究和论文发表的一些建议
几种免费下载文献的方法----我的文献应助经
【必看】【本版版规,欢迎发悬赏贴求助】
【新课】26年3月|Gemini辅助论文写作与数据 ...
关于如何利用文献的若干建议
关于科研中如何学习基础知识的一些建议 (一 ...
一个自编的经济学建模小案例 --写给授课本科 ...
AI智能体赋能教学改革: 全国AI教育教学应用 ...
2025中国AIoT产业全景图谱报告-406页
说点什么
分享
微信
QQ空间
QQ
微博
扫码加好友,拉您进群
各岗位、行业、专业交流群