全部版块 我的主页
论坛 数据科学与人工智能 数据分析与数据科学 SAS专版
1860 3
2013-05-07
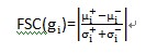
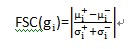
本人正在处理基因表达谱数据,主要是想先聚类,然后用信噪比标准选出每一类的主基因。

基因的FSC分值计算公式如下:
(XH}_L`}MOY5MJ8MU9L4VUY.jpg

其中, 基因 的正类样本的均值; 表示基因 的负类样本的均值; 表示基因 的正类样本的标准差; 示基因 的负类样本的标准差


二维码

扫码加我 拉你入群

请注明:姓名-公司-职位

以便审核进群资格,未注明则拒绝

全部回复
2013-5-7 18:05:09
(XH}_L`}MOY5MJ8MU9L4VUY.jpg
二维码

扫码加我 拉你入群

请注明:姓名-公司-职位

以便审核进群资格,未注明则拒绝

2013-5-7 18:09:20
支持
二维码

扫码加我 拉你入群

请注明:姓名-公司-职位

以便审核进群资格,未注明则拒绝

2013-5-7 19:39:10
那一般用什么程序呢?
二维码

扫码加我 拉你入群

请注明:姓名-公司-职位

以便审核进群资格,未注明则拒绝

相关推荐
栏目导航
热门文章
推荐文章

说点什么

分享

扫码加好友,拉您进群
各岗位、行业、专业交流群