全部版块 我的主页
论坛 计量经济学与统计论坛 五区 计量经济学与统计软件 Stata专版
7115 7
2013-05-21
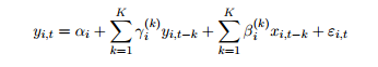
我想用GMM的方法在stata里做个回归, 回归方程见图:
hurlin.png

不知道这样写对么?  : xtbond2 y L.y L.x, gmm(L.y) iv(L.x)
感觉不怎么对  谁帮帮我 先谢谢啦
二维码

扫码加我 拉你入群

请注明:姓名-公司-职位

以便审核进群资格,未注明则拒绝

全部回复
2013-5-21 16:45:24
请高人指点
二维码

扫码加我 拉你入群

请注明:姓名-公司-职位

以便审核进群资格,未注明则拒绝

2013-5-21 23:26:38
stata可能会提示回归元超过工具变量数目
二维码

扫码加我 拉你入群

请注明:姓名-公司-职位

以便审核进群资格,未注明则拒绝

2013-5-21 23:52:29
fulei1509 发表于 2013-5-21 23:26
stata可能会提示回归元超过工具变量数目
是的, 报错  请问应该怎么写? 我的数据是unbalanced panel, cross-section 有7500, T有 504。。。。。。请指点一下吧
二维码

扫码加我 拉你入群

请注明:姓名-公司-职位

以便审核进群资格,未注明则拒绝

2013-5-26 12:23:52
你的是PVAR模型,建议用PVAR模型做,用XTABOND2也可以做啊,不过你应该先确定滞后阶数吧,具体怎么写XTABOND2命令写的很清楚吧
二维码

扫码加我 拉你入群

请注明:姓名-公司-职位

以便审核进群资格,未注明则拒绝

2013-5-27 20:31:31
PX0706 发表于 2013-5-26 12:23
你的是PVAR模型,建议用PVAR模型做,用XTABOND2也可以做啊,不过你应该先确定滞后阶数吧,具体怎么写XTABON ...
不知可否提供PVAR的语法格式, 我搜不到有啊。。。。它和xtabond2怎么区别呢? xtabond2在我的小样本数据可以运行, 但是运用到整个样本就报错, 应该是工具量过多, 如果我限制工具变量+collapse, 也可算出, 不过不知道好不好
二维码

扫码加我 拉你入群

请注明:姓名-公司-职位

以便审核进群资格,未注明则拒绝

点击查看更多内容…
相关推荐
栏目导航
热门文章
推荐文章

说点什么

分享

扫码加好友,拉您进群
各岗位、行业、专业交流群