经管之家App
让优质教育人人可得
立即打开
全部版块
我的主页
›
论坛
›
数据科学与人工智能
›
数据分析与数据科学
›
R语言论坛
R中画图的跳点怎么不连起来
楼主
慧(会)幸福
3110
2
收藏
2013-06-11
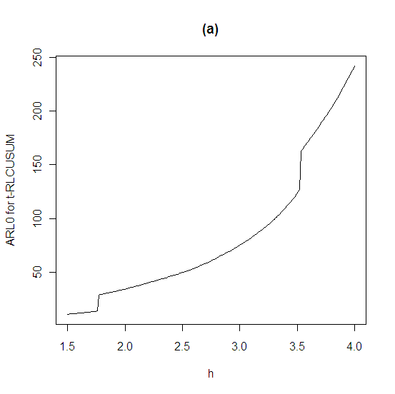
我的程序如下,
rt7<-read.table("F:/RLCUSUM/ARL0-抹平-1.txt", head=TRUE)
plot(sARL~h,data=rt7,ylab= "ARL0 for t-RLCUSUM",main="(a)",type='l')
图如下,事实上,曲线在h=1.76和h=3.52点处是两个跳点,我想在这两个点处让曲线断开,怎么画呢,另外,曲线加粗怎么办,多谢了
扫码加我 拉你入群
请注明:姓名-公司-职位
以便审核进群资格,未注明则拒绝
全部回复
沙发
kaifengedu
2013-6-11 22:07:46
找边界点,分段画可以,不知道更简单的方法。
扫码加我 拉你入群
请注明:姓名-公司-职位
以便审核进群资格,未注明则拒绝
藤椅
qoiqpwqr
2013-6-11 22:45:36
就像楼上说的,分开画
扫码加我 拉你入群
请注明:姓名-公司-职位
以便审核进群资格,未注明则拒绝
相关推荐
On the Robustness of Unit Root Tests in the Presence of Double Unit Roots
论坛开张并诚招版主
庆祝论坛开张并诚招版主
有志于报考人大经济学院的同学朋友们看过来
庆祝论坛开张并诚招各分论坛版主
On the Robustness of Unit Root Tests in the Presence of Double Unit Roots
双单位根存在情况下单位根检验的稳健性研究
Local Power Functions of Tests for Double Unit Roots
周小川:调利率还需观察 息口盯住5%通胀率
栏目导航
R语言论坛
灌水吧
哲学与心理学版
新手入门区
站务与外事
经管文库(原现金交易版)
热门文章
展望2026:学术智能体即将崛起?
CDA数据分析脱产就业班于2025年12月08日开班 ...
初等数学论丛+第8辑
项目介绍 MATLAB实现基于DTW-GPR 动态时间规 ...
数字消费蓝皮书(2025年) 20251229
【多指标】2001-2024年上市公司企业供应链风 ...
【顶刊多指标】2000-2024年上市公司企业股票 ...
CDA数据分析师实战:指标体系搭建的全流程方 ...
CDA数据分析师:以数据思维赋能企业管理,驱 ...
CDA全国考点信息一览(更新于2025年12月10日 ...
推荐文章
12月武汉站|Deepseek辅助论文写作与数据分 ...
2026JG学术冬训营:从Stata初高到Python机器 ...
关于如何利用文献的若干建议
关于学术研究和论文发表的一些建议
关于科研中如何学习基础知识的一些建议 (一 ...
一个自编的经济学建模小案例 --写给授课本科 ...
AI智能体赋能教学改革: 全国AI教育教学应用 ...
2025中国AIoT产业全景图谱报告-406页
关于文献求助的一些建议
几种免费下载文献的方法----我的文献应助经
说点什么
分享
微信
QQ空间
QQ
微博
扫码加好友,拉您进群
各岗位、行业、专业交流群