全部版块 我的主页
论坛 计量经济学与统计论坛 五区 计量经济学与统计软件
728 1
2013-07-27
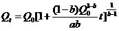
方程如下:
方程

式子中,a和b是未知参数,其他数已知。

请问,该如何拟合,求出最优的a和b?谢谢

附件列表
方程.jpg

原图尺寸 3.8 KB

方程.jpg

二维码

扫码加我 拉你入群

请注明:姓名-公司-职位

以便审核进群资格,未注明则拒绝

全部回复
2013-8-3 23:34:52
为表述简单起见,令你的Qt的公式是Qt=Q(t,a,b), 我想你有一组数据, 即t=t1时,Q(t1)观察值=q(t1), t=t2时,Q(t2)观察值=q(t2), ...t=t2时,Q(tn)观察值=q(tn)
可以用最小二乘法,你的问题可以变为:
需要求f(a,b)的最小值,而f(a,b)=(q(t1)-Q(t1,a,b))^2+(q(t2)-Q(t2,a,b))^2+...+(q(tn)-Q(tn,a,b))^2
这就把你的问题转换成一个两元函数求极值的问题。我知道,很多软件都能做求极值计算的。
二维码

扫码加我 拉你入群

请注明:姓名-公司-职位

以便审核进群资格,未注明则拒绝

相关推荐
栏目导航
热门文章
推荐文章

说点什么

分享

扫码加好友,拉您进群
各岗位、行业、专业交流群