全部版块 我的主页
论坛 数据科学与人工智能 数据分析与数据科学 SPSS论坛
48108 11
2013-10-14
D(ei)=[1-1/n-(Xi-x)^2/Lxx]q^2
二维码

扫码加我 拉你入群

请注明:姓名-公司-职位

以便审核进群资格,未注明则拒绝

全部回复
2013-10-14 12:15:09
这个不难吧,你找下李子奈和潘文卿合著的《计量经济学指南与练习》,或者何晓群的《实用回归分析》,自己看看就知道了!
二维码

扫码加我 拉你入群

请注明:姓名-公司-职位

以便审核进群资格,未注明则拒绝

2013-10-14 13:23:32
南冰 发表于 2013-10-14 12:15
这个不难吧,你找下李子奈和潘文卿合著的《计量经济学指南与练习》,或者何晓群的《实用回归分析》,自己看 ...
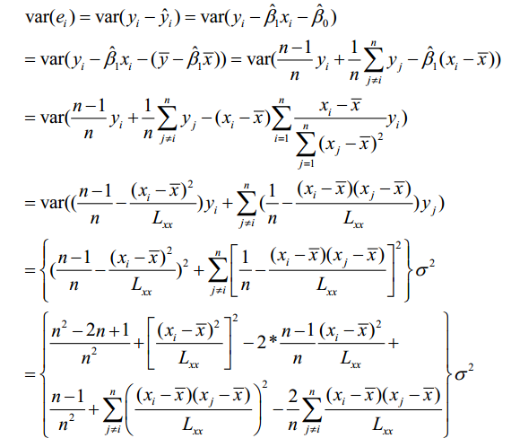
这个是要求证明的公式

IMG_1568_副本.jpg



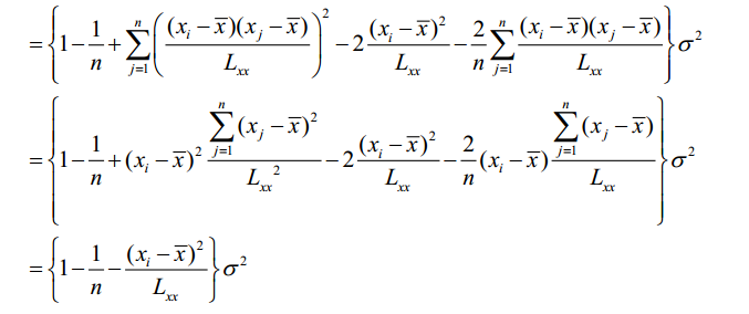
这个是答案中的提示 ,意思 是 两个 y 不相互独立 ,有协方差 ,那协方差 求解的过程太不详细了,你能帮我看看不
IMG_1569_旋转_副本.jpg

二维码

扫码加我 拉你入群

请注明:姓名-公司-职位

以便审核进群资格,未注明则拒绝

2015-7-20 14:17:32
yi尖=β0尖+β1尖xi,然后β0尖和β1尖都是yi的线性函数,这样的话协方差应该就可以求了吧。
二维码

扫码加我 拉你入群

请注明:姓名-公司-职位

以便审核进群资格,未注明则拒绝

2016-3-15 21:35:28
1.PNG 2.PNG

二维码

扫码加我 拉你入群

请注明:姓名-公司-职位

以便审核进群资格,未注明则拒绝

2017-12-18 21:44:39
茅塞顿开,学习了!
二维码

扫码加我 拉你入群

请注明:姓名-公司-职位

以便审核进群资格,未注明则拒绝

点击查看更多内容…
栏目导航
热门文章
推荐文章

说点什么

分享

扫码加好友,拉您进群
各岗位、行业、专业交流群