经管之家App
让优质教育人人可得
立即打开
全部版块
我的主页
›
论坛
›
数据科学与人工智能
›
数据分析与数据科学
›
R语言论坛
悬赏1000论坛币求R程序!
楼主
南冰
1312
2
收藏
2013-10-28
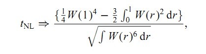
我想用R编程借助MC方法求下面t统计量的临界值(其中,W(r)是定义在[0,1]上的标准布朗运动),但是苦于没有相关材料,如果您有相关材料或者R程序,烦请提供,不胜感激。若提供程序1000论坛币作为报酬,若提供有价值的材料也可给予一定量论坛币作为报酬,非常感谢!
扫码加我 拉你入群
请注明:姓名-公司-职位
以便审核进群资格,未注明则拒绝
全部回复
沙发
nightflower
2013-11-10 17:18:46
楼主找到r软件了吗
扫码加我 拉你入群
请注明:姓名-公司-职位
以便审核进群资格,未注明则拒绝
藤椅
南冰
2013-11-10 18:05:56
nightflower 发表于 2013-11-10 17:18
楼主找到r软件了吗
R软件还用找吗?google利用输入"R“就出来了
扫码加我 拉你入群
请注明:姓名-公司-职位
以便审核进群资格,未注明则拒绝
相关推荐
[求助]悬赏1000论坛币求教!
关于生产劳动的问题,悬赏1000论坛币!
悬赏1000论坛币求综合打分问题处理方案
悬赏1000论坛币求书!
悬赏1000论坛币求教DEA决策单元个数问题
求MLC机经 悬赏1000论坛币
悬赏1000论坛币查列表中的文献
悬赏1000论坛币,求2015年东奥和中华注会各科的视频及相关资料
悬赏1000论坛币!!!求2001-2015年各省基尼系数和贫困指数,或者详细方法
悬赏1000论坛币急求13-17年全国分省基尼系数
栏目导航
R语言论坛
商学院
金融学(理论版)
文献求助专区
马克思主义经济学
LISREL、AMOS等结构方程模型分析软件
热门文章
CDA数据分析脱产就业班于2026年3月7日开班! ...
新宏观丨中美经济总量差距拉大的根源
艾瑞咨询 - 2025年中国早教行业白皮书
第一太平戴维斯 - 2026年中国房地产市场展望 ...
Measure Theory for Analysis and Probabil ...
2025中国可持续消费报告
现代数学基础19 偏微分方程 孔德兴
科研时间70%耗在“下载-复制-粘贴”?零代码 ...
精准匹配,菁英相伴--经管之家单身俱乐部, ...
CDA数据分析师:商业数据分析实践的核心执行 ...
推荐文章
2026JG学术冬训营:从Stata初高到Python机器 ...
【必看】【本版版规,欢迎发悬赏贴求助】
26年寒假天津站|Gemini论文写作&数据分析 ...
关于如何利用文献的若干建议
关于学术研究和论文发表的一些建议
关于科研中如何学习基础知识的一些建议 (一 ...
一个自编的经济学建模小案例 --写给授课本科 ...
AI智能体赋能教学改革: 全国AI教育教学应用 ...
2025中国AIoT产业全景图谱报告-406页
关于文献求助的一些建议
说点什么
分享
微信
QQ空间
QQ
微博
扫码加好友,拉您进群
各岗位、行业、专业交流群