全部版块 我的主页
论坛 数据科学与人工智能 数据分析与数据科学 R语言论坛
1583 4
2013-11-19
悬赏 200 个论坛币 已解决
截图00.png
截图00.png

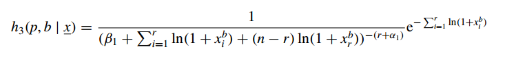
截图01.png
除了p,b其他的都设定为一个常数。

最佳答案

二维码

扫码加我 拉你入群

请注明:姓名-公司-职位

以便审核进群资格,未注明则拒绝

全部回复
2013-11-19 10:36:46
复制代码
二维码

扫码加我 拉你入群

请注明:姓名-公司-职位

以便审核进群资格,未注明则拒绝

2013-11-20 01:28:54
What is your function g(p,b) and h_3(p,b) ?
二维码

扫码加我 拉你入群

请注明:姓名-公司-职位

以便审核进群资格,未注明则拒绝

2013-11-20 09:36:00
Bayesian.var 发表于 2013-11-20 01:28
What is your function g(p,b) and h_3(p,b) ?
已经更新了g和h_3函数了,
二维码

扫码加我 拉你入群

请注明:姓名-公司-职位

以便审核进群资格,未注明则拒绝

2013-11-29 18:06:38
nuomin 发表于 2013-11-19 10:36
我想问一下,在这个程序中, r表示能够观察的数量,n-r表示删失的,这个怎么表示
二维码

扫码加我 拉你入群

请注明:姓名-公司-职位

以便审核进群资格,未注明则拒绝

相关推荐
栏目导航
热门文章
推荐文章

说点什么

分享

扫码加好友,拉您进群
各岗位、行业、专业交流群