经管之家App
让优质教育人人可得
立即打开
全部版块
我的主页
›
论坛
›
数据科学与人工智能
›
数据分析与数据科学
SAS 程序求助
楼主
精灵♀小魔女
1270
0
收藏
2013-12-14
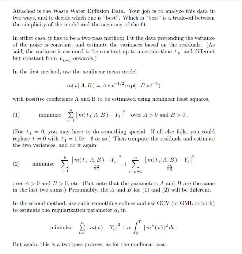
紧急求助,关于nolinear model的分析,有偿。qq:421184519
附件列表
1.JPG
原图尺寸 113.99 KB
1.xlsx
大小:10.79 KB
马上下载
扫码加我 拉你入群
请注明:姓名-公司-职位
以便审核进群资格,未注明则拒绝
相关推荐
(求助)SAS for linear model
Linear Model 问题求教!急~~
linear model
OLS和NON LINEAR做出来的结果不一样正常么?
2014秋美国UT生物统计硕士Linear Model课用的教材
如何判定得到的log-linear model的的好坏
求助linear mixed effect model做病历数据分析
求助 linearModel分析效应估计
【学习笔记】Linear Algera 12/35
【学习笔记】Linear Algera 12/35
栏目导航
数据分析与数据科学
经管高考
互联网金融与Fintech版
经济金融数学专区
计量经济学与统计软件
求助成功区
热门文章
【重磅权威】2000-2024年上市公司人力资本流 ...
中国力量席卷全球- 绿色赋能地产先行 掀起全 ...
中国风能太阳能资源年景公报(2025年)
计算机行业:SpaceX,从“变革”中崛起的“ ...
几何(第五卷)[法] M. 贝尔热
求助英文文献一篇
《寻路集:在全球网络中寻找合适节点 》周其 ...
几何(第四卷)[法] M. 贝尔热
我该如何记住你?智能体记忆系统的演化之路
CDA数据分析脱产就业班于2026年3月7日开班! ...
推荐文章
2026JG学术冬训营:从Stata初高到Python机器 ...
【必看】【本版版规,欢迎发悬赏贴求助】
26年寒假天津站|Gemini论文写作&数据分析 ...
关于如何利用文献的若干建议
关于学术研究和论文发表的一些建议
关于科研中如何学习基础知识的一些建议 (一 ...
一个自编的经济学建模小案例 --写给授课本科 ...
AI智能体赋能教学改革: 全国AI教育教学应用 ...
2025中国AIoT产业全景图谱报告-406页
关于文献求助的一些建议
说点什么
分享
微信
QQ空间
QQ
微博
扫码加好友,拉您进群
各岗位、行业、专业交流群