经管之家App
让优质教育人人可得
立即打开
全部版块
我的主页
›
论坛
›
提问 悬赏 求职 新闻 读书 功能一区
›
经管百科
›
爱问频道
概率论与数理统计样本容量问题
楼主
tony_mxl
2299
1
收藏
2013-12-15
某公司对60000人中的吸烟者比例做调查,置信度为95%的情况下:
(1)若要使误差保持在4%以内,需要的最小样本容量是多少
(2)已知比例在10%-20%,要使误差保持在5%以内,求需要的最小样本容量
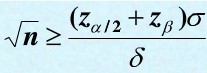
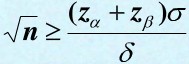
我参考的教材是《概率论与数理统计》浙江大学第四版,里边儿涉及到这个知识点的只有第八章(假设检验)的样本容量选取,也就是说与检验法的OC函数有关的内容,但感觉题目的已知条件与学的理论内容对不上号呢? 样本容量的公式是如附件,题目没有告诉标准差σ和其中的δ。求高人解答~~! 谢谢了
附件列表
QQ图片20131215235004.jpg
原图尺寸 5.5 KB
QQ图片20131215234946.jpg
原图尺寸 4.79 KB
扫码加我 拉你入群
请注明:姓名-公司-职位
以便审核进群资格,未注明则拒绝
全部回复
沙发
tony_mxl
2013-12-16 09:10:31
求高人解答呀~ 在线等
扫码加我 拉你入群
请注明:姓名-公司-职位
以便审核进群资格,未注明则拒绝
相关推荐
概率论与数理统计
概率论与数理统计【盛骤版】
概率论与数理统计
概率论与数理统计(三)
概率论与数理统计(十一)
概率论与数理统计(14)
概率论与数理统计的教案
求概率论与数理统计海外教材中文版
概率论与数理统计 PDF
概率论与数理统计 吴小霞编,2013
栏目导航
爱问频道
微观经济学
金融工程(数量金融)与金融衍生品
市场行情分析
行业分析报告
能源经济学
热门文章
当AI遇见ML:高校教师如何借助AI与机器学习 ...
CDA 认证考试大纲 2025 重磅更新:一二级考 ...
CDA数据分析师实战:指标体系搭建的全流程方 ...
Essentials of Statistics for Research by ...
2025年AI智能体的兴起:未来展望报告(英)
2025 中国汽车可持续发展蓝皮书
合规与体验双升级!中高端LED牙齿美白灯的增 ...
“奇瑞品质”再获权威认证
祝贺奇瑞!祝贺尹同跃!
电力设备行业报告:算力革命与能源革命共振 ...
推荐文章
12月武汉站|Deepseek辅助论文写作与数据分 ...
2026JG学术冬训营:从Stata初高到Python机器 ...
关于如何利用文献的若干建议
关于学术研究和论文发表的一些建议
关于科研中如何学习基础知识的一些建议 (一 ...
一个自编的经济学建模小案例 --写给授课本科 ...
AI智能体赋能教学改革: 全国AI教育教学应用 ...
2025中国AIoT产业全景图谱报告-406页
关于文献求助的一些建议
几种免费下载文献的方法----我的文献应助经
说点什么
分享
微信
QQ空间
QQ
微博
扫码加好友,拉您进群
各岗位、行业、专业交流群