cyl.88 发表于 2013-12-29 22:18 
我的问题就是从那篇文章来的。。。它直接就是写由第一个式子化简得到第二个式子,但是没有中间化简的过程 ...
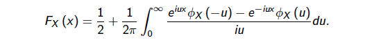
I don't think that integral can be evluated directly.
The Heston version of pricing option via Fourier transform utilize the Gil-Palaez Inversion as I have shown above.
I checked several other papers, they all use this type of inversion for derivation.
So, in my opinion, the author writes the probability in this form because he want to apply the Gil-palaez inversion. Otherwise it is useless to prove the inversion in the early part of the paper. I am not a mathematical guy, so my knowledge is a little limited in this area. Sorry for that.
best