经管之家App
让优质教育人人可得
立即打开
全部版块
我的主页
›
论坛
›
金融投资论坛 六区
›
保险精算与风险管理
›
CAA、SOA精算师等考证版
求助:Buhlmann保费问题
楼主
qyfbravo
1749
1
收藏
2013-12-31
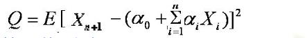
就是后面X1 X2 X3是怎么抽取的?是X1是从一个风险组 X2是从另一个组抽取吗?谢谢。这个期望是对谁求的?
扫码加我 拉你入群
请注明:姓名-公司-职位
以便审核进群资格,未注明则拒绝
全部回复
沙发
牛顿的波函数
2014-4-8 23:10:46
这个好像是buhlmann信度估计的最小二乘估计推导,目标就是使得Q最小的系数。
期望是对所有的X求的。
x1,x2,x3是来自不同风险组的损失,如保单1、保单2等。
扫码加我 拉你入群
请注明:姓名-公司-职位
以便审核进群资格,未注明则拒绝
相关推荐
求助Sahlman的论文一篇
求助:探讨一道C/4关于bulmann的题目
求助:关于Buhlmann信度因子计算公式“Z=n/(n+v/a)”如何求得的问题
求助帖:Buhlmann保费问题
求prem mann的著作
buhlmann和b-s模型,究竟有啥差别
当米勒1月没有回复,Holtmann被命名为永久教练
Buhlmann模型中,若组观测值数量不同,信度因子的公式
Gotzmann持久性的本地版本
2022年Rethmann SE&Co.KG企业数据分析
栏目导航
CAA、SOA精算师等考证版
行业分析报告
经管高考
学道会
学术道德监督
经管文库(原现金交易版)
热门文章
CDA数据分析脱产就业班于2026年3月7日开班! ...
癌症·真相:医生也在读(菠萝)
脑机接口行业深度报告:顶层战略支持,国产 ...
天堂的证据(〔美〕埃本·亚历山大)
半导体行业分析手册之二:混合键合设备,AI ...
芜湖造船厂为我国高端船舶制造自主创新再添 ...
表格结构数据特征与CDA数据分析师:精准适配 ...
CDA 认证考试大纲 2025 重磅更新:一二级考 ...
在概率与代码之间:Agent Skills 是 AI 的枷 ...
新宏观丨豆包,传统经济学与商学对全球性债 ...
推荐文章
2026JG学术冬训营:从Stata初高到Python机器 ...
【必看】【本版版规,欢迎发悬赏贴求助】
【新课】26年3月|Gemini辅助论文写作与数据 ...
关于如何利用文献的若干建议
关于学术研究和论文发表的一些建议
关于科研中如何学习基础知识的一些建议 (一 ...
一个自编的经济学建模小案例 --写给授课本科 ...
AI智能体赋能教学改革: 全国AI教育教学应用 ...
2025中国AIoT产业全景图谱报告-406页
关于文献求助的一些建议
说点什么
分享
微信
QQ空间
QQ
微博
扫码加好友,拉您进群
各岗位、行业、专业交流群