全部版块 我的主页
论坛 金融投资论坛 六区 金融学(理论版)
2051 0
2014-01-26

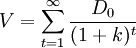
零增长模型的公式  零增长模型假定股利增长率等于0,即g=0,也就是说未来的股利按一个固定数量支付。贴现现金流模型的公式如下:    (1)  式中:V——股票的内在价值;Dt——在未来时期以现金形式表示的每股股利;k——在一定风险程度下现金流的合适的贴现率。  根据这个假定,我们用D0来改换方程(1)中的Dt:      (2)下面是我看不懂的,我是一个大专的学生,学校没有教高数,只有高中的数学知识,学过倒数和微积分,求高人稍微指导给出推导的论证过程,万分感激! 因为k>0,按照数学中无穷级数的性质,可知:    代入公式(2.21)中,得出零增长模型公式:    (3)  式中:V——股票的内在价值;D0——在未来无限时期支付的每股股利;k——到期收益率


二维码

扫码加我 拉你入群

请注明:姓名-公司-职位

以便审核进群资格,未注明则拒绝

相关推荐
栏目导航
热门文章
推荐文章

说点什么

分享

扫码加好友,拉您进群
各岗位、行业、专业交流群