立即打开
扫码加我 拉你入群
请注明:姓名-公司-职位
以便审核进群资格,未注明则拒绝
全部回复
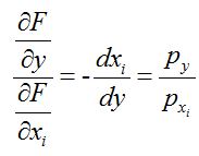
这道题目需使用到“鲍文-萨缪尔森”规则,详细的推导过程见《微观经济十八讲》P351
这样,就能求解到y=10000,选择【D】
注意:在教材推导过程中,以及这里使用的第三个等式中,为什么会有

?
注意,这里F是指社会生产私人品和公用品的生产可能性边界,用隐函数F(xi,y)来表示。y和x的偏导数之商,就是生产可能性边界的斜率,边际转换率。实现生产的帕累托最优的必要条件就是边际转换率等于生产的边际技术替代率。后边的等号应该是容易理解的。
扫码加我 拉你入群
请注明:姓名-公司-职位
以便审核进群资格,未注明则拒绝
相关推荐
栏目导航
热门文章
推荐文章
扫码加好友,拉您进群