全部版块 我的主页
论坛 数据科学与人工智能 数据分析与数据科学 SPSS论坛
2072 2
2008-03-22

问一个基本问题: 问卷中含有5个因子(A, B, C, D, E), 每个因子的测量是用已经开发出的问题(比如因子A是用5个题目, 因子B是用3个题目, 这些因子都是单纬)。 理论模型:A-->D, B-->D, B-->E. C-->E,
     
若要用AMOS进行验证因子分析,做测量模型,是否是将5个因子并排列好, 然后两两相关的划线?

[此贴子已经被作者于2008-3-22 18:38:03编辑过]

二维码

扫码加我 拉你入群

请注明:姓名-公司-职位

以便审核进群资格,未注明则拒绝

全部回复
2009-1-19 07:46:00
给出你的草图!
二维码

扫码加我 拉你入群

请注明:姓名-公司-职位

以便审核进群资格,未注明则拒绝

2009-1-19 11:42:00

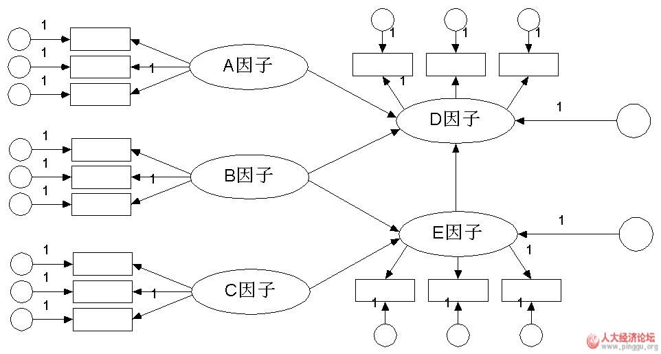
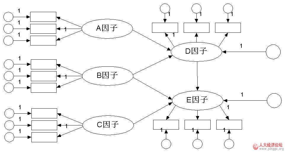
我给你画了图,两种情形。见图

 一种情形

求助:测量模型

第二种情形

求助:测量模型

二维码

扫码加我 拉你入群

请注明:姓名-公司-职位

以便审核进群资格,未注明则拒绝

相关推荐
栏目导航
热门文章
推荐文章

说点什么

分享

扫码加好友,拉您进群
各岗位、行业、专业交流群